Magna Concursos

Foram encontradas 60 questões.

849144 Ano: 2014
Disciplina: Engenharia Mecânica
Banca: CESGRANRIO
Orgão: EPE
Em um determinado problema de engenharia, ficou caracterizado, por meio de um adimensional, um aumento da transferência de calor, através de uma camada de fluido, como resultado da convecção em relação à condução do mesmo fluido em toda a camada.

Tal adimensional corresponde ao número de
 

Provas

Questão presente nas seguintes provas
849143 Ano: 2014
Disciplina: Engenharia Mecânica
Banca: CESGRANRIO
Orgão: EPE
Turbinas a gás de fluxo axial apresentam muitas similitudes com turbinas a vapor.

Entre essas similitudes inclui-se o(s)
 

Provas

Questão presente nas seguintes provas
849142 Ano: 2014
Disciplina: Engenharia Mecânica
Banca: CESGRANRIO
Orgão: EPE
Para manter um refrigerador a uma determinada temperatura, o calor é removido a uma taxa de 348 kJ/min. A taxa de rejeição do calor para o ambiente em que está instalado esse refrigerador é de 468 kJ/min.

Se a potência necessária para operar esse refrigerador é 2 kW, seu coeficiente de desempenho é
 

Provas

Questão presente nas seguintes provas
849141 Ano: 2014
Disciplina: Engenharia Mecânica
Banca: CESGRANRIO
Orgão: EPE
Na análise de motores de combustão interna são usados ciclos termodinâmicos fechados que se aproximam dos ciclos abertos reais.

O ciclo padrão ar é o mais utilizado e baseia-se em
 

Provas

Questão presente nas seguintes provas
849140 Ano: 2014
Disciplina: Engenharia Mecânica
Banca: CESGRANRIO
Orgão: EPE
Uma das principais características do ciclo aberto real de ignição por centelha, e que representa seu desvio em relação ao ciclo padrão ar, é que
 

Provas

Questão presente nas seguintes provas
849139 Ano: 2014
Disciplina: Engenharia Mecânica
Banca: CESGRANRIO
Orgão: EPE
Um escoamento de um fluido é uniforme quando
 

Provas

Questão presente nas seguintes provas
849138 Ano: 2014
Disciplina: Engenharia Mecânica
Banca: CESGRANRIO
Orgão: EPE
O ciclo padrão ar ideal para análise de uma turbina a gás simples é o ciclo de
 

Provas

Questão presente nas seguintes provas
849137 Ano: 2014
Disciplina: Engenharia Mecânica
Banca: CESGRANRIO
Orgão: EPE
O ar no interior de um cilindro-pistão passa por um processo de expansão, indo do estado 1 ao estado 2. Considere que o ar se comporta como um gás ideal e que no estado inicial, estado 1, P1 = 1,6 MPa e V1 = 26 litros, e que, após a expansão, estado 2, V2 = 66 litros.

Qual a pressão no estado 2, em MPa?
 

Provas

Questão presente nas seguintes provas
849136 Ano: 2014
Disciplina: Engenharia Mecânica
Banca: CESGRANRIO
Orgão: EPE
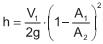
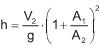
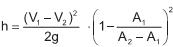
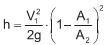
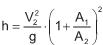
Um escoamento permanente, turbulento, de um fluido incompressível ocorre através de um conduto horizontal cuja área transversal da seção dobra de tamanho bruscamente. Sejam V1 e V2 as velocidades e A1 e A2 as áreas transversais antes e depois da expansão do conduto, respectivamente. Despreze as tensões de cisalhamento que agem nas paredes das duas seções, adote velocidade uniforme nas seções transversais ao escoamento e considere a aceleração da gravidade local igual a g.
A expressão para a perda de carga devido à mudança brusca do tamanho da seção é
 

Provas

Questão presente nas seguintes provas
849135 Ano: 2014
Disciplina: Engenharia Mecânica
Banca: CESGRANRIO
Orgão: EPE
Tendo a teoria cinética dos gases por base, a condutividade térmica dos gases
 

Provas

Questão presente nas seguintes provas