Foram encontradas 120 questões.

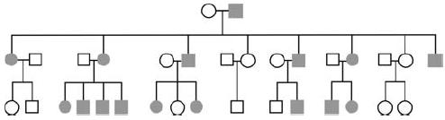
O retinoblastoma é um tumor maligno da retina que se desenvolve a partir dos retinoblastos, células precursoras dos fotorreceptores da retina. Em decorrência de mutação nova no gene Rb, situado no cromossomo 13, esse tipo de câncer pode ocorrer de forma esporádica. Para que o câncer comece a se desenvolver, são necessárias duas mutações no mesmo locus gênico, no mesmo fotorreceptor. O heredograma mostrado acima é o de uma família afetada por retinoblastoma. Assinale a opção que apresenta o genótipo ou os genótipos para o gene Rb nos fotorreceptores dos indivíduos afetados pelo retinoblastoma.
Provas
Meninas com idade a partir de 9 anos e mulheres de até 45 anos de idade têm direito a receber gratuitamente a vacina contra o Papiloma Vírus Humano (HPV), fornecida pelo Sistema Único de Saúde (SUS). Com a aplicação da vacina, a população do sexo feminino que pertence a essa faixa etária tem um aliado no combate ao HPV, vírus transmitido por contato sexual e principal causa do câncer do colo de útero. A vacinação contra o HPV é feita com a introdução de proteínas do envoltório desse vírus no organismo não suficientes para causar a doença, mas capazes de induzir o organismo a produzir
Provas
A excreção de compostos nitrogenados pelos animais está relacionada à toxicidade dessas substâncias e à concentração de água nos tecidos. A respeito desse assunto, assinale a opção correta.
Provas

A figura acima ilustra o sistema circulatório de um
Provas

Internet: <www.ebah.com.br>.
Em um organismo multicelular, as células precisam comunicar-se umas com as outras, de modo a direcionarem e regularem seu crescimento, seu desenvolvimento e sua organização. Conforme mostra a figura acima, células animais comunicam-se secretando substâncias químicas que sinalizam células distantes.
Na figura acima, a molécula sinalizadora hidrofóbica é
Provas

Robert Weinberg. Biologia do Câncer. 1.ª ed.
A figura acima ilustra uma aberração cromossômica denominada
Provas

No núcleo celular, a cromatina organiza-se em pequenos aglomerados individuais, denominados territórios cromossômicos. Em geral, os genes ativos, normalmente encontrados na região da eucromatina, tendem a localizar-se na periferia desses territórios cromossômicos, conforme se verifica na figura acima. Essa estrutura nuclear não é rígida, pois os cromossomos se movimentam, trocam de posição e podem formar alças de DNA que invadem territórios alheios. A mobilidade da cromatina sugere que os genes podem aproximar-se fisicamente, mesmo estando inicialmente distantes uns dos outros. A interação entre cromossomos permite a aproximação entre regiões regulatórias e proteínas, o que favorece a coordenação da regulação da atividade de famílias semelhantes de genes.
Internet: <www.globo.com> (com adaptações).
Considerando o texto e a figura acima, julgue os itens a seguir.
I Cada território cromossômico é organizado de forma a ativar ou suprimir a expressão de genes durante a interfase, e a sua formação pode ser evidenciada pela eucromatina e pela heterocromatina.
II A referida organização em territórios, que inibe a condensação e a segregação dos cromossomos durante a mitose, também pode ser visualizada em células procarióticas.
III A posição dos cromossomos e a de seus vizinhos mais próximos influem no funcionamento celular.
IV Por estar ancorada no envoltório nuclear, a cromatina tem mobilidade quase nula.
São corretos apenas os itens
Provas

O gráfico acima ilustra a quantidade de DNA em uma célula em diferentes fases do ciclo celular. Com base no gráfico e nos aspectos a ele relacionados, assinale a opção correta.
Provas
No tecido conjuntivo que envolve os túbulos seminíferos de vertebrados, na fase de amadurecimento sexual, células intersticiais se diferenciam em células produtoras de esteroides. A organela mais desenvolvida nessas células é
Provas
Duas populações de espécies marinhas, I e II, mantêm a seguinte relação ecológica: os organismos da espécie I perseguem, capturam e comem os organismos da espécie II. A espécie I é muito apreciada, para consumo, pelas populações humanas; a espécie II não é consumida por populações humanas.
Considerando essas informações, assinale a opção que melhor expressa o comportamento da densidade populacional da espécie II, quando a espécie I sofre alterações devido à pesca predatória.
Provas
Caderno Container