Foram encontradas 90 questões.
Choose the alternative that correctly shows the comparative form of the adjectives below:
Good – bad – ill – far – old
Provas
Questão presente nas seguintes provas
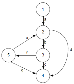
Com relação ao uso de métricas de software, a figura abaixo ilustra o grafo de fluxo de um programa de computador. Assinale a alternativa correspondente ao valor de sua complexidade ciclomática (métrica de software que fornece uma medida quantitativa da complexidade lógica de um programa):

Provas
Questão presente nas seguintes provas
No sistema operacional Linux, qual arquivo de configuração é usado para definir as filas de impressão disponíveis no sistema?
Provas
Questão presente nas seguintes provas
Sobre a política brasileira entre 1930 e 1932, período que antecede à constitucionalização da chamada Revolução de 1930, é correto afirmar que:
Provas
Questão presente nas seguintes provas
Answer question according to the text below.
Henry James is one of America's greatest novelists, and the author of The Turn of the Screw, a well-known short ghost story, published in 1898. It is a story that many people have made into films and operas. One of the best operas is one written by Benjamin Britten in the mid twentieth century.
The book is about a governess who looks after two children in a house which has no near neighbours. The story is both haunting and frightening. The children, Flora and Miles, are charming to their teacher, but when she starts to see the figures of a man and woman in the gardens, she begins to believe that supernatural forces possess them, and will lead to their destruction. The reader and the listener sometimes wonder if the governess is mad, because both author and composer cleverly leave a lot of room for the reader’s / listeners’ own terrible thoughts and ideas.
Ghost stories and music have a similar effect on us. The best ghost stories try to get into our minds, and music has the power to go past our conscious thought and appeal directly to our feelings and emotions. So the terrifying production that opened last night at Covent Garden Opera House is successful for two reasons: first because it has a great author and composer, and second because your imagination takes over from your sensible mind.
Decide if the following statements are True or False according to the text and choose the correct alternative.
I. The story takes place in a haunted castle.
II. Henry James and Benjamin Britten worked together in The Turn of the Screw.
III. The story first appeared in a book.
Provas
Questão presente nas seguintes provas
- Fundamentos de Sistemas OperacionaisSubsistema de Entrada e Saída
- Servidor de Arquivos e ImpressãoCUPS
No sistema operacional Linux, o esquema de impressão requer que um filtro seja aplicado para traduzir os dados do arquivo que será impresso para o formato de dados adequado à impressora. Quais desses filtros são comuns para a maioria das distribuições Linux?
Provas
Questão presente nas seguintes provas
Assinale a alternativa correta de acordo com as regras gramaticais canônicas.
Provas
Questão presente nas seguintes provas
Choose the option that correctly completes the sentence:
As they down the street they Amelia.
Provas
Questão presente nas seguintes provas
2420589
Ano: 2011
Disciplina: TI - Organização e Arquitetura dos Computadores
Banca: DECEx
Orgão: EsFCEx
Disciplina: TI - Organização e Arquitetura dos Computadores
Banca: DECEx
Orgão: EsFCEx
Provas:
Comparando as memórias dinâmicas (DRAM) com as memórias estáticas (SRAM) é correto afirmar que as primeiras:
Provas
Questão presente nas seguintes provas
O conceito de transmissão de dados “fora da banda” (out of band) é utilizado em um protocolo de transporte para indicar que:
Provas
Questão presente nas seguintes provas
Cadernos
Caderno Container