Foram encontradas 77 questões.
Com relação à teoria de Engenharia de Software, considere um teste de carga em um site de comércio eletrônico. Suponha que, em um dado momento, 10.000 usuários concorrentes submetem uma solicitação (uma transação T), em média, a cada 4 (quatro) minutos. Cada transação requer o download de uma página web com tamanho de 6Kbytes. Nestas condições, qual das alternativas abaixo indica a vazão de dados que o servidor deve suportar.
Provas
Questão presente nas seguintes provas
Assinale a alternativa que completa corretamente as lacunas abaixo.
“Engenharia social é um conjunto de métodos e técnicas que têm como objetivo obter informações por meio da exploração da , de técnicas investigativas e , da enganação, etc.”
Provas
Questão presente nas seguintes provas
LAS HERIDAS PSICOLÓGICAS DE LOS REFUGIADOS
No pueden dormir interrumpidamente. Narran que a veces también ocurren de día. Algunos se sienten perseguidos, incluso víctimas de complots inexistentes. Sufren de ansiedad, depresión leve o estrés. Otros padecen apatia y cansando crônico. No se fían. Manifíestan sintomas somáticos, como hinchazones en la piei, dolores de cabeza y de estômago. Cuando no pueden más, tienen explosiones de rabia incontrolada que, en la gran mayoría de los casos, acaban con actos de autolesión, es decir, contra ellos mismos. Los hay que han intentado suicidarse. El anhelo de la sonada Europa, en parte frustrado, su difícil fuga de guerras y persecuciones, y las condiciones de llegada al viejo continente, influyen. Las atrocidades que han experimentado, o a las que han asistido en sus países de origen o de trânsito, también. Son los inmigrantes y refugiados con trastornos mentales, un colectivo que, en los últimos anos, ha ido en aumento en Europa, donde muchos, demasiados, no reciben una atención médica adecuada, pues todavia el debate está verde y los recursos de personal - tanto operadores como investigadores - y los fondos econômicos escasean.
El fenômeno sigue unos patrones similares en los principals países europeos en primera línea en la recepción de migrantes y refugiados. A causa de la prolongación de los conflictos bélicos en el norte de Africa - en particular, en Libia - y en Oriente Medio - Siria, Irak y Afganistán y de la amplifícación dei fenômeno de las redes que se lucran con el tráfico de personas, los inmigrantes y refugiados llegan cada vez más traumatizados. En los países de origen sufren las lacras de guerras - incluyendo torturas y violências sexuales reiteradas mientras que en los de trânsito -donde se sufre de hacinamiento en campos de refugiados o incluso esclavización, como el caso libio - son víctimas vulnerables de las redes de tráfico.
Aunque no hay un consenso definitivo sobre los aspectos más específicos de un fenômeno aún en curso, lo que sí ha detectado la mayoría de los expertos europeos es que una de las patologias más recurrentes entre los afectados es precisamente el trastorno de estrés postraumático, así como la manifestación de sintomas relacionados con la depresión.
(Las heridas psicológicas de los refugiados - Irene Savio/03 Agosto 2016. https://www.esglobal.org/Ias-heridas-psicologicas-de-los-reiLigiados/)
Marque la respuesta correcta al respecto al uso de la lengua, las palabras: Algunos ; como ; contra ; sobre ; Aunque son respectivamente:
Provas
Questão presente nas seguintes provas
Analise as afirmativas sobre as tendências em Sistemas de Informação ao longo dos anos, colocando entre parênteses a letra “V”, quando se tratar de afirmativa verdadeira, e a letra “F” quando se tratar de afirmativa falsa. A seguir, assinale a alternativa que apresenta a sequência correta.
( ) Os Sistemas de Informação Gerencial, baseados em relatórios administrativos, surgiram entre os anos 1990 e 2000 com o advento da internet.
( ) Os sistemas de apoio à decisão, apoio interativo e ad hoc ao processo de tomada de decisão gerencial, surgiram entre os anos 1970e 1980.
( ) Até os 1960, o papel dos sistemas de informação era simples processamento de transações, manutenção de registros, contabilidade e outros aplicativos de processamento eletrônico de dados.
Provas
Questão presente nas seguintes provas
- Transmissão de DadosCaracterísticas de TransmissãoAtenuação de Sinal
- Transmissão de DadosCaracterísticas de TransmissãoCrosstalk/Diafonia e Delay Skew
Analise as afirmativas sobre a ruídos em comunicação de dados, colocando entre parênteses a letra “V”, quando se tratar de afirmativa verdadeira, e a letra “F” quando se tratar de afirmativa falsa. A seguir, assinale a alternativa que apresenta a sequência correta.
( ) O nível de ruído em uma transmissão é medido como uma relação entre a potência do sinal e a potência do ruído.
( ) O nível de ruído em uma transmissão é medido em decibéis.
( ) O ruído de intermodulação é consequência da proximidade física entre cabos e antenas.
( ) A taxa de erro de um canal não é influenciada pelo tempo de duração do ruído.
( ) Ruídos térmicos são tratáveis e podem ser minimizados para não prejudicar a transmissão.
Provas
Questão presente nas seguintes provas
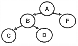
Com relação à figura ilustrativa de uma estrutura de árvore abaixo:

Assinale a alternativa correta que representa um caminhamento PREORDEM desta árvore.
Provas
Questão presente nas seguintes provas
LAS HERIDAS PSICOLÓGICAS DE LOS REFUGIADOS
No pueden dormir interrumpidamente. Narran que a veces también ocurren de día. Algunos se sienten perseguidos, incluso víctimas de complots inexistentes. Sufren de ansiedad, depresión leve o estrés. Otros padecen apatia y cansando crônico. No se fían. Manifíestan sintomas somáticos, como hinchazones en la piei, dolores de cabeza y de estômago. Cuando no pueden más, tienen explosiones de rabia incontrolada que, en la gran mayoría de los casos, acaban con actos de autolesión, es decir, contra ellos mismos. Los hay que han intentado suicidarse. El anhelo de la sonada Europa, en parte frustrado, su difícil fuga de guerras y persecuciones, y las condiciones de llegada al viejo continente, influyen. Las atrocidades que han experimentado, o a las que han asistido en sus países de origen o de trânsito, también. Son los inmigrantes y refugiados con trastornos mentales, un colectivo que, en los últimos anos, ha ido en aumento en Europa, donde muchos, demasiados, no reciben una atención médica adecuada, pues todavia el debate está verde y los recursos de personal - tanto operadores como investigadores - y los fondos econômicos escasean.
El fenômeno sigue unos patrones similares en los principals países europeos en primera línea en la recepción de migrantes y refugiados. A causa de la prolongación de los conflictos bélicos en el norte de Africa - en particular, en Libia - y en Oriente Medio - Siria, Irak y Afganistán y de la amplifícación dei fenômeno de las redes que se lucran con el tráfico de personas, los inmigrantes y refugiados llegan cada vez más traumatizados. En los países de origen sufren las lacras de guerras - incluyendo torturas y violências sexuales reiteradas mientras que en los de trânsito -donde se sufre de hacinamiento en campos de refugiados o incluso esclavización, como el caso libio - son víctimas vulnerables de las redes de tráfico.
Aunque no hay un consenso definitivo sobre los aspectos más específicos de un fenômeno aún en curso, lo que sí ha detectado la mayoría de los expertos europeos es que una de las patologias más recurrentes entre los afectados es precisamente el trastorno de estrés postraumático, así como la manifestación de sintomas relacionados con la depresión.
(Las heridas psicológicas de los refugiados - Irene Savio/03 Agosto 2016. https://www.esglobal.org/Ias-heridas-psicologicas-de-los-reiLigiados/)
De acuerdo con el texto, marque la respuesta correcta:
Provas
Questão presente nas seguintes provas
Marque las formas verbales que aparecen en las frases abajo están respectivamente en los tiempos verbales:
"... que a veces también ocurren de día.”
"... ha ido en aumento en Europa ...”
Provas
Questão presente nas seguintes provas
Considerando o modelo proposto pelo PMI (Project Management Institute), o método do Diagrama de Precedência (MDP) é melhor discriminado por alguns tipos de relacionamentos lógicos, também chamados de dependências ou relações de precedência. Neste contexto, assinale a alternativa correta que representa a dependência, ou relacionamento lógico, cuja atividade independente deve começar antes da atividade dependente.
Provas
Questão presente nas seguintes provas
Analise as afirmativas abaixo, colocando entre parênteses a letra “V”, quando se tratar de afirmativa verdadeira, e a letra “F” quando se tratar de afirmativa falsa. A seguir, assinale a alternativa que apresenta a sequência correta.
( ) Em “Todos os candidatos foram ótimos nas tarefas teóricas e péssimos nas tarefas práticas.” há dois adjetivos superlativos absolutos.
( ) Em “Indivíduos anoréxicos geralmente apresentam aparência macérrima e parcíssimo índice de nutrientes no organismo.” há dois adjetivos superlativos sintéticos.
( ) Em “José Teixeira fez o melhor projeto para a empresa, sendo considerado mais habilitado que os outros candidatos para assumir a vaga de diretor geral.” há dois adjetivos superlativos relativos.
Provas
Questão presente nas seguintes provas
Cadernos
Caderno Container