Foram encontradas 40 questões.
Uma progressão geométrica é formada com os números naturais A, B e C, nessa ordem. O log(A) possui a mesma mantissa, M, do log(B) e C é a característica do log(A). Sabe-se que M=log(C) e que C possui o maior valor possível. O valor da mantissa do log(ABC) é:
Provas
Um inteiro positivo é escrito em cada uma das seis faces de um cubo. Para cada vértice, é calculado o produto dos números escritos nas três faces adjacentes. Se a soma desses produtos é 1105, a soma dos seis números das faces é:
Provas
Provas

Provas
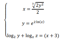
Sabe-se que S = x + y + z, onde x, y e z são soluções inteiras do sistema abaixo.

O valor de S é:
Provas
Considere os conjuntos A = {0, 1, 2, 3, 4} e B = {1, 2, 3, 4, 5, 6, 7, 8, 9, 10}. Seja F o conjunto de funções cujo domínio é A e cujo contradomínio é B. Escolhendo-se ao acaso uma função f de F, a probabilidade de f ser estritamente crescente ou ser injetora é:
Provas
O menor número natural ímpar que possui o mesmo número de divisores que 1800 está no intervalo:
Provas
Seja U o conjunto dos 1000 primeiros números naturais maiores que zero. Considere que zeros à esquerda são omitidos. Seja Α ⊆ U o conjunto de números cuja representação na base 10 tem o algarismo mais significativo igual a 1; e B ⊆ U o conjunto de números cuja representação na base 4 tem o algarismo mais significativo igual a 2. As cardinalidades de Α - B e de B - Α são, respectivamente:
Provas

Provas

Provas
Caderno Container