Foram encontradas 50 questões.
Texto para responder à questão.

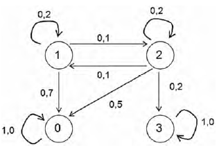
O diagrama apresentado modela o que ocorre com as cobaias
durante as fases de teste de um tratamento experimental ao
longo de n meses. Nesse tratamento, existem duas fases
(estados 1 e 2, respectivamente) em que a cobaia pode ter de
repetir a fase, sendo que a conclusão (estado 3) ocorre
somente após a fase 2; também pode haver morte da cobaia
(estado 0) a qualquer tempo do teste.
Provas
Questão presente nas seguintes provas
Texto para responder à questão.
Certo medicamento pode ser produzido em dois laboratórios distintos, A e B. O responsável pela produção decidiu por um modelo de regressão linear simples, isto é, yi = β0xi +
, onde yi e xi são, respectivamente, o custo de produção (em unidades monetárias) e a quantidade produzida (em mil unidades). Dessa forma, os dados obtidos foram os seguintes:
Laboratório A:
r2 = 0,81
Laboratório B:
(XTX)-1 = 
XY = 20 12)T
Provas
Questão presente nas seguintes provas
Texto para responder à questão.
Certo medicamento pode ser produzido em dois laboratórios distintos, A e B. O responsável pela produção decidiu por um modelo de regressão linear simples, isto é, yi = β0xi +
, onde yi e xi são, respectivamente, o custo de produção (em unidades monetárias) e a quantidade produzida (em mil unidades). Dessa forma, os dados obtidos foram os seguintes:
Laboratório A:
r2 = 0,81
Laboratório B:
(XTX)-1 = 
XY = 20 12)T
Provas
Questão presente nas seguintes provas
Considere hipoteticamente que a equipe médica de uma
grande empresa faça pequenas estatísticas acerca do nível de
colesterol dos colaboradores e saiba que essa variável é
normalmente distribuída com média μ e variância σ
conhecida. Com base em uma amostra de 30 funcionários
dessa variável, a equipe obteve o seguinte intervalo de 95%
de confiança para a média μ:
± 11, em que
é o valor da
média do nível de colesterol na amostra coletada. Em relação
a esse intervalo, assinale a alternativa correta.
Provas
Questão presente nas seguintes provas
Em uma loteria, 7 em cada 10 vezes não se ganha nada, 2 em
cada 10 vezes ganha-se R$ 100, e 1 em cada 10 vezes
ganha-se R$ 1.000. O valor que pode ser ganho é uma
variável aleatória X com a seguinte distribuição de
probabilidade:
Com base no exposto, é correto afirmar que a esperança do ganho será, em média, igual a
Com base no exposto, é correto afirmar que a esperança do ganho será, em média, igual a
Provas
Questão presente nas seguintes provas
Considere hipoteticamente que cinco pessoas obesas seguem
uma dieta de emagrecimento. A tabela a seguir apresenta o
número de quilogramas (kg) perdidos por cada uma delas
durante o período de tratamento.
O valor da média aritmética da variável Y é igual a
O valor da média aritmética da variável Y é igual a
Provas
Questão presente nas seguintes provas
Deseja-se realizar um teste qui-quadrado de independência. A
amostra é composta de n = 106 pacientes, onde N é a
população brasileira. Nessa população, as variáveis consideradas
são X “fumantes?”, que associam a cada indivíduo o hábito “é
fumante” ou “não fumante”, segundo seu comportamento, e Y “câncer de pulmão”, que associa cada indivíduo à modalidade
“tem câncer de pulmão” ou “não tem câncer de pulmão”, de
acordo com o seu estado. A hipótese a ser testada é a hipótese
nula H0: “Na população, não há nenhuma relação entre o
tabagismo e ter um câncer do pulmão”. A hipótese alternativa é
H1: “Na população, há uma relação entre o tabagismo e ter um
câncer do pulmão”. Considere α = 0,05 (5%), admitindo-se um
valor crítico
= 3,841 e o valor calculado de
qui-quadrado X² = 3,98.
Com base nesses resultados, é correto concluir que
Com base nesses resultados, é correto concluir que
Provas
Questão presente nas seguintes provas
Texto para responder à questão.
Considere que um novo tratamento esteja sendo testado e,
para comprovar a respectiva eficiência, seja necessário medir
se há diferença na contagem de plaquetas no sangue no pré e
no pós-operatório. Assim, foi realizado um estudo piloto com
20 pacientes, cujos resultados mostraram que, em 16 deles,
houve aumento nas contagens das plaquetas; em quatro
deles, diminuição. O estatístico responsável pela análise
considera conveniente, para o caso em questão, utilizar um
teste não paramétrico, mais especificamente o teste de sinais.
Provas
Questão presente nas seguintes provas
Texto para responder à questão.
Considere que um novo tratamento esteja sendo testado e,
para comprovar a respectiva eficiência, seja necessário medir
se há diferença na contagem de plaquetas no sangue no pré e
no pós-operatório. Assim, foi realizado um estudo piloto com
20 pacientes, cujos resultados mostraram que, em 16 deles,
houve aumento nas contagens das plaquetas; em quatro
deles, diminuição. O estatístico responsável pela análise
considera conveniente, para o caso em questão, utilizar um
teste não paramétrico, mais especificamente o teste de sinais.
Provas
Questão presente nas seguintes provas
O salário de Tiago foi reajustado em 5% no mês de janeiro e
em 4% no mês de fevereiro, chegando ao valor de
R$ 4.368,00. Com base nessas informações, é correto afirmar
que, antes dos dois reajustes, o salário de Tiago era de
Provas
Questão presente nas seguintes provas
Cadernos
Caderno Container