Magna Concursos

Foram encontradas 60 questões.

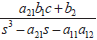
390319 Ano: 2010
Disciplina: Engenharia Eletrônica
Banca: FGV
Orgão: FIOCRUZ

Um sistema linear é modelado pelas seguintes equações

enunciado 390319-1

em que as constantes enunciado 390319-2 e as variáveis físicas enunciado 390319-3.

A entrada do sistema é u (t) e a saída medida é y(t).

A função de transferência enunciado 390319-4 desse sistema é:
 

Provas

Questão presente nas seguintes provas
390309 Ano: 2010
Disciplina: Engenharia Eletrônica
Banca: FGV
Orgão: FIOCRUZ
Analise a função de transferência dada por enunciado 390309-1, na qual enunciado 390309-2 .


Assinale a alternativa que determine qual(is) valor(es) de k a função de transferência G(s) tem os pólos alocados no semi-plano da esquerda.


 

Provas

Questão presente nas seguintes provas
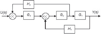
390301 Ano: 2010
Disciplina: Engenharia Eletrônica
Banca: FGV
Orgão: FIOCRUZ
Analise o diagrama de blocos a seguir, no qual G1, G2, G3, H1 e H2 são funções transferência.
enunciado 390301-1
Considerando a entrada (U(s)) e a saída (Y(s)), a função transferência resultante equivalente a estrutura dos blocos da figura é:

 

Provas

Questão presente nas seguintes provas
390295 Ano: 2010
Disciplina: Engenharia Eletrônica
Banca: FGV
Orgão: FIOCRUZ
Um sistema, cuja função de transferência é representada pela função (s2 + 5s + 6)/(s3 +15s2 +50s) possui:
 

Provas

Questão presente nas seguintes provas
390294 Ano: 2010
Disciplina: Engenharia Eletrônica
Banca: FGV
Orgão: FIOCRUZ
Calcule as constantes reais p e q de forma que os pólos da função de transferência em malha fechada, conforme representado na figura, correspondam aos complexos conjugados −3± i .
enunciado 390294-1
Dados:
enunciado 390294-2

Assinale a alternativa correta.
 

Provas

Questão presente nas seguintes provas
390289 Ano: 2010
Disciplina: Engenharia Elétrica
Banca: FGV
Orgão: FIOCRUZ
enunciado 390289-1
Obs: todas as reatâncias estão em pu.


A figura acima apresenta um sistema elétrico onde um gerador está conectado a uma barra infinita através de uma linha de transmissão. No diagrama estão representadas todas as reatâncias de sequência positiva do sistema em pu. O valor da impedância do circuito equivalente de Thevenin do sistema, em pu, no momento de uma falta no ponto indicado na figura é aproximadamente:

 

Provas

Questão presente nas seguintes provas
390288 Ano: 2010
Disciplina: Engenharia Elétrica
Banca: FGV
Orgão: FIOCRUZ
A respeito das fontes alternativas de energia é correto afirmar que:
 

Provas

Questão presente nas seguintes provas
390286 Ano: 2010
Disciplina: Engenharia Elétrica
Banca: FGV
Orgão: FIOCRUZ
Um circuito elétrico é composto por um resistor, um indutor e um capacitor ligados sem série. A esse respeito, analise as afirmativas a seguir.
I. Esse circuito terá um fator de potência sempre igual a 1.
II. Esse circuito poderá ter um comportamento de reatância indutiva ou capacitiva.
III. Esse circuito poderá ter um comportamento de resistor, de impedância capacitiva ou impedância indutiva.
Assinale:
 

Provas

Questão presente nas seguintes provas
390285 Ano: 2010
Disciplina: Engenharia Elétrica
Banca: FGV
Orgão: FIOCRUZ
A modelagem dos vários componentes de um sistema elétrico de potência é ferramenta indispensável, sendo preliminar a vários outros estudos que podem ser realizados.
Neste cenário, as cargas também fazem parte dos elementos a serem representados.
Considere o modelo ZIP de uma carga de potência ativa nominal igual a 1,0 pu, conectada a um barramento cuja tensão também vale 1,0 pu.
Considerando, ainda, que a parcela potência constante seja 0,5, a parcela corrente constante seja 0,3 e a parcela impedância constante seja 0,2, o valor aproximado da potência ativa injetada por esta carga, em pu, é:
 

Provas

Questão presente nas seguintes provas
390284 Ano: 2010
Disciplina: Engenharia Elétrica
Banca: FGV
Orgão: FIOCRUZ
Suponha que a linha de transmissão da questão anterior foi substituída por um transformador defasador puro.
As tensões terminais, neste caso, valem Ek = 1,0∠0º pu e Em = 1,0∠–15ºpu. A modelagem deste transformador considera uma admitância série y = –j1 pu, além de introduzir uma defasagem angular de 15º.
Nestas condições, o valor do fluxo de potência ativa entre os terminais k e m, em pu, é:
 

Provas

Questão presente nas seguintes provas