Foram encontradas 49 questões.
Se em um gráfico de controle, queremos avaliar a proporção de pessoas obesas ao longo de 12 meses, os limites do intervalo do gráfico de controle são calculados baseados na distribuição:
Provas
Em um estado, suponha que foi feita uma pesquisa para medir a proporção de residências que têm ar condicionado. Foi selecionada uma amostra de 2000 residências, e estratificada por Capital, Região Norte e Litoral, e Região Sul do estado. Foram encontrados os seguintes resultados.

A porcentagem média de residências que têm ar condicionado no estado é dada por:
Provas
Um candidato a prefeito tem 50% de intenções de voto em uma pesquisa com 1000 indivíduos, em uma população com 5000 eleitores. Utilizando o plano da Amostragem Aleatória Simples Sem Reposição, considerando que o quantil 97,5% da distribuição Normal padrão é de 1,96, o comprimento do intervalo de confiança de 95% para a proporção de votos é dado por:
Provas
- Distribuições de ProbabilidadeDistribuições ContínuasNormal
- Estatística InferencialIntervalos de confiança
Uma empresa A pretende verificar a pressão máxima que um parafuso suporta sem entortar. Para isso, foi coletada uma amostra com 1000 parafusos, e foi verificado que em média um parafuso suporta 10,34kg e a variância da média é de 4kg2. Considerando que o quantil 97,5% da distribuição Normal padrão é igual a 1,96, um intervalo de confiança de 95% para a média é dado por:
Provas
Considere a tabela de frequência abaixo, representando a variável número de filhos de 16 funcionários.

A variância amostral da variável é dada por:
Provas
Através do dendograma, podemos fazer o agrupamento de indivíduos, de acordo com as suas proximidades. Observando o dendograma abaixo, NÃO é possível dizer que:

Provas
A técnica de geração de variáveis conhecida como método da inversão consiste em gerar pontos de uma distribuição de variável aleatória X. Para isso, supõe-se que a distribuição acumulada, F(X), possui uma distribuição uniforme no intervalo (0,1). A técnica consiste em chamar u=F(X), e isolar X da função através da função inversa. Seja X uma variável aleatória com distribuição exponencial com densidade dada por:

Utilizando o método da inversão, geramos um valor de x pela transformação:
Provas
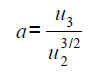
O coeficiente de assimetria amostral de uma distribuição é dada em função dos momentos amostrais, sendo

onde uk é o k-ésimo momento da variável k. Considere uma amostra com os seguintes valores x=(10,11,12,4,11). O coeficiente de assimetria é dado por:
Provas
Considere uma série temporal representando o número de passageiros de avião, em milhares, nos Estados Unidos, por mês.

Com relação a este gráfico, podemos afirmar que:
Provas
Com relação aos tipos de amostragem, podemos afirmar que:
Provas
Caderno Container