Foram encontradas 119 questões.
Elaborou-se uma série de experimentos para a análise de carboidratos, proteínas e nucleotídeos, que permitissem também a observação de atividade enzimática, conforme descrição a seguir.
I Foram adicionadas gotas de lugol e de reagente de Fehling a fatias de banana verde e madura.
II Foi adicionada uma solução de saliva aos dois tipos de banana e, posteriormente, as mesmas adições de reagentes foram repetidas.
III Por meio de trituração de um dos tipos de banana, adição de detergente e cloreto de sódio, realização de aquecimento e resfriamento, em etapas, e adição de etanol gelado, foi obtida uma fração enriquecida em ácidos nucléicos, que pôde ser visualizada como filamentos, os quais puderam ser enrolados em um bastão de vidro.
IV Foram dosados proteínas e aminoácidos livres em uma solução de clara de ovo, procedimento repetido após a adição de pepsina.
Considerando os procedimentos experimentais mencionados, julgue os itens que se seguem.
A presença de proteínas referida no experimento IV pode ser evidenciada pela reação de PCR.
Provas
Elaborou-se uma série de experimentos para a análise de carboidratos, proteínas e nucleotídeos, que permitissem também a observação de atividade enzimática, conforme descrição a seguir.
I Foram adicionadas gotas de lugol e de reagente de Fehling a fatias de banana verde e madura.
II Foi adicionada uma solução de saliva aos dois tipos de banana e, posteriormente, as mesmas adições de reagentes foram repetidas.
III Por meio de trituração de um dos tipos de banana, adição de detergente e cloreto de sódio, realização de aquecimento e resfriamento, em etapas, e adição de etanol gelado, foi obtida uma fração enriquecida em ácidos nucléicos, que pôde ser visualizada como filamentos, os quais puderam ser enrolados em um bastão de vidro.
IV Foram dosados proteínas e aminoácidos livres em uma solução de clara de ovo, procedimento repetido após a adição de pepsina.
Considerando os procedimentos experimentais mencionados, julgue os itens que se seguem.
A catálise enzimática observada no experimento II refere-se predominantemente a uma reação de hidrólise.
Provas
Elaborou-se uma série de experimentos para a análise de carboidratos, proteínas e nucleotídeos, que permitissem também a observação de atividade enzimática, conforme descrição a seguir.
I Foram adicionadas gotas de lugol e de reagente de Fehling a fatias de banana verde e madura.
II Foi adicionada uma solução de saliva aos dois tipos de banana e, posteriormente, as mesmas adições de reagentes foram repetidas.
III Por meio de trituração de um dos tipos de banana, adição de detergente e cloreto de sódio, realização de aquecimento e resfriamento, em etapas, e adição de etanol gelado, foi obtida uma fração enriquecida em ácidos nucléicos, que pôde ser visualizada como filamentos, os quais puderam ser enrolados em um bastão de vidro.
IV Foram dosados proteínas e aminoácidos livres em uma solução de clara de ovo, procedimento repetido após a adição de pepsina.
Considerando os procedimentos experimentais mencionados, julgue os itens que se seguem.
Cada filamento visível ao final do experimento III corresponde a um par de fitas de DNA.
Provas
Elaborou-se uma série de experimentos para a análise de carboidratos, proteínas e nucleotídeos, que permitissem também a observação de atividade enzimática, conforme descrição a seguir.
I Foram adicionadas gotas de lugol e de reagente de Fehling a fatias de banana verde e madura.
II Foi adicionada uma solução de saliva aos dois tipos de banana e, posteriormente, as mesmas adições de reagentes foram repetidas.
III Por meio de trituração de um dos tipos de banana, adição de detergente e cloreto de sódio, realização de aquecimento e resfriamento, em etapas, e adição de etanol gelado, foi obtida uma fração enriquecida em ácidos nucléicos, que pôde ser visualizada como filamentos, os quais puderam ser enrolados em um bastão de vidro.
IV Foram dosados proteínas e aminoácidos livres em uma solução de clara de ovo, procedimento repetido após a adição de pepsina.
Considerando os procedimentos experimentais mencionados, julgue os itens que se seguem.
O procedimento descrito no experimento III é rotineiramente utilizado para a obtenção de plasmídeos do material mencionado em experimentos de melhoramento genético.
Provas
Elaborou-se uma série de experimentos para a análise de carboidratos, proteínas e nucleotídeos, que permitissem também a observação de atividade enzimática, conforme descrição a seguir.
I Foram adicionadas gotas de lugol e de reagente de Fehling a fatias de banana verde e madura.
II Foi adicionada uma solução de saliva aos dois tipos de banana e, posteriormente, as mesmas adições de reagentes foram repetidas.
III Por meio de trituração de um dos tipos de banana, adição de detergente e cloreto de sódio, realização de aquecimento e resfriamento, em etapas, e adição de etanol gelado, foi obtida uma fração enriquecida em ácidos nucléicos, que pôde ser visualizada como filamentos, os quais puderam ser enrolados em um bastão de vidro.
IV Foram dosados proteínas e aminoácidos livres em uma solução de clara de ovo, procedimento repetido após a adição de pepsina.
Considerando os procedimentos experimentais mencionados, julgue os itens que se seguem.
No experimento III, a adição de detergente favorece a ruptura das membranas celulares e das membranas de algumas organelas.
Provas
Elaborou-se uma série de experimentos para a análise de carboidratos, proteínas e nucleotídeos, que permitissem também a observação de atividade enzimática, conforme descrição a seguir.
I Foram adicionadas gotas de lugol e de reagente de Fehling a fatias de banana verde e madura.
II Foi adicionada uma solução de saliva aos dois tipos de banana e, posteriormente, as mesmas adições de reagentes foram repetidas.
III Por meio de trituração de um dos tipos de banana, adição de detergente e cloreto de sódio, realização de aquecimento e resfriamento, em etapas, e adição de etanol gelado, foi obtida uma fração enriquecida em ácidos nucléicos, que pôde ser visualizada como filamentos, os quais puderam ser enrolados em um bastão de vidro.
IV Foram dosados proteínas e aminoácidos livres em uma solução de clara de ovo, procedimento repetido após a adição de pepsina.
Considerando os procedimentos experimentais mencionados, julgue os itens que se seguem.
Os produtos da primeira reação do experimento II são substratos para vias catabólicas que levam à formação de piruvato.
Provas
Elaborou-se uma série de experimentos para a análise de carboidratos, proteínas e nucleotídeos, que permitissem também a observação de atividade enzimática, conforme descrição a seguir.
I Foram adicionadas gotas de lugol e de reagente de Fehling a fatias de banana verde e madura.
II Foi adicionada uma solução de saliva aos dois tipos de banana e, posteriormente, as mesmas adições de reagentes foram repetidas.
III Por meio de trituração de um dos tipos de banana, adição de detergente e cloreto de sódio, realização de aquecimento e resfriamento, em etapas, e adição de etanol gelado, foi obtida uma fração enriquecida em ácidos nucléicos, que pôde ser visualizada como filamentos, os quais puderam ser enrolados em um bastão de vidro.
IV Foram dosados proteínas e aminoácidos livres em uma solução de clara de ovo, procedimento repetido após a adição de pepsina.
Considerando os procedimentos experimentais mencionados, julgue os itens que se seguem.
O experimento II comprova a degradação de lipídeos pela saliva.
Provas
Elaborou-se uma série de experimentos para a análise de carboidratos, proteínas e nucleotídeos, que permitissem também a observação de atividade enzimática, conforme descrição a seguir.
I Foram adicionadas gotas de lugol e de reagente de Fehling a fatias de banana verde e madura.
II Foi adicionada uma solução de saliva aos dois tipos de banana e, posteriormente, as mesmas adições de reagentes foram repetidas.
III Por meio de trituração de um dos tipos de banana, adição de detergente e cloreto de sódio, realização de aquecimento e resfriamento, em etapas, e adição de etanol gelado, foi obtida uma fração enriquecida em ácidos nucléicos, que pôde ser visualizada como filamentos, os quais puderam ser enrolados em um bastão de vidro.
IV Foram dosados proteínas e aminoácidos livres em uma solução de clara de ovo, procedimento repetido após a adição de pepsina.
Considerando os procedimentos experimentais mencionados, julgue os itens que se seguem.
Para o preparo do reagente de lugol, é necessário adicionar sulfato de cobre ao iodo.
Provas
Elaborou-se uma série de experimentos para a análise de carboidratos, proteínas e nucleotídeos, que permitissem também a observação de atividade enzimática, conforme descrição a seguir.
I Foram adicionadas gotas de lugol e de reagente de Fehling a fatias de banana verde e madura.
II Foi adicionada uma solução de saliva aos dois tipos de banana e, posteriormente, as mesmas adições de reagentes foram repetidas.
III Por meio de trituração de um dos tipos de banana, adição de detergente e cloreto de sódio, realização de aquecimento e resfriamento, em etapas, e adição de etanol gelado, foi obtida uma fração enriquecida em ácidos nucléicos, que pôde ser visualizada como filamentos, os quais puderam ser enrolados em um bastão de vidro.
IV Foram dosados proteínas e aminoácidos livres em uma solução de clara de ovo, procedimento repetido após a adição de pepsina.
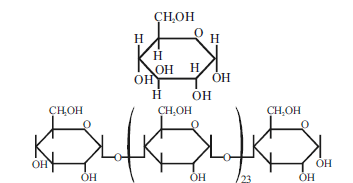
Considerando os procedimentos experimentais mencionados, julgue os itens que se seguem.
No experimento I, foram coradas moléculas com estruturas semelhantes às mostradas abaixo.

Provas
Disciplina: Atualidades e Conhecimentos Gerais
Banca: CESPE / CEBRASPE
Orgão: FUB
economia brasileira, entre os quais a expansão do crédito e do consumo, Lula ainda comparou o Bolsa Família ao milagre da multiplicação dos pães.
Jornal do Brasil, 28/3/2008, capa (com adaptações)
Tendo o texto acima como referência inicial e considerando os múltiplos aspectos que o tema suscita, julgue os itens que se seguem.
Provas
Caderno Container