Foram encontradas 99 questões.

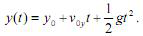
A figura acima mostra uma criança em um carrinho que se move
com velocidade constante
o movimento do carrinho, a criança joga uma bola para cima com
velocidade inicial igual a
do sistema de eixos coordenados está fixa ao carrinho. Para o
observador externo, a origem dos sistemas de eixos coordenados
é identificada por 0 na figura e está fixo ao solo. Desprezando o
atrito com o ar e considerando a aceleração da gravidade igual
a g, julgue os itens de 03 a 08, acerca da situação apresentada.
Provas
Questão presente nas seguintes provas

A figura acima mostra uma criança em um carrinho que se move
com velocidade constante
o movimento do carrinho, a criança joga uma bola para cima com
velocidade inicial igual a
do sistema de eixos coordenados está fixa ao carrinho. Para o
observador externo, a origem dos sistemas de eixos coordenados
é identificada por 0 na figura e está fixo ao solo. Desprezando o
atrito com o ar e considerando a aceleração da gravidade igual
a g, julgue os itens de 03 a 08, acerca da situação apresentada.
Provas
Questão presente nas seguintes provas

A figura acima mostra uma criança em um carrinho que se move
com velocidade constante
o movimento do carrinho, a criança joga uma bola para cima com
velocidade inicial igual a
do sistema de eixos coordenados está fixa ao carrinho. Para o
observador externo, a origem dos sistemas de eixos coordenados
é identificada por 0 na figura e está fixo ao solo. Desprezando o
atrito com o ar e considerando a aceleração da gravidade igual
a g, julgue os itens de 03 a 08, acerca da situação apresentada.
Provas
Questão presente nas seguintes provas
- Mecânica ClássicaCinemáticaMRUV: Movimento Retilíneo Uniformemente Variado
- Mecânica ClássicaDinâmicaLeis de Newton
- Mecânica ClássicaDinâmicaEnergia Mecânica e sua Conservação
De modo geral, uma lei de conservação estabelece que
determinada propriedade mensurável de um sistema físico isolado
é constante. Cada lei de conservação particular é uma identidade
matemática que se aplica a um sistema isolado. A física moderna
admite, entre outras, as seguintes leis de conservação, para as
quais nunca se observou uma violação: a lei da conservação de
energia, do momento linear, do momento angular e das cargas.
Com relação a esse tema, considere um sistema isolado
constituído por N partículas interagindo entre si e com massas e
velocidades iguais a
respectivamente.
Com base nessas informações, julgue os itens a seguir.
As forças internas que atuam nas N partículas de massas determinada propriedade mensurável de um sistema físico isolado
é constante. Cada lei de conservação particular é uma identidade
matemática que se aplica a um sistema isolado. A física moderna
admite, entre outras, as seguintes leis de conservação, para as
quais nunca se observou uma violação: a lei da conservação de
energia, do momento linear, do momento angular e das cargas.
Com relação a esse tema, considere um sistema isolado
constituído por N partículas interagindo entre si e com massas e
velocidades iguais a
Com base nessas informações, julgue os itens a seguir.
Provas
Questão presente nas seguintes provas
De modo geral, uma lei de conservação estabelece que
determinada propriedade mensurável de um sistema físico isolado
é constante. Cada lei de conservação particular é uma identidade
matemática que se aplica a um sistema isolado. A física moderna
admite, entre outras, as seguintes leis de conservação, para as
quais nunca se observou uma violação: a lei da conservação de
energia, do momento linear, do momento angular e das cargas.
Com relação a esse tema, considere um sistema isolado
constituído por N partículas interagindo entre si e com massas e
velocidades iguais a
respectivamente.
Com base nessas informações, julgue os itens a seguir.
A posição do centro de massa desse sistema é uma grandeza escalar, que depende das velocidades das partículas determinada propriedade mensurável de um sistema físico isolado
é constante. Cada lei de conservação particular é uma identidade
matemática que se aplica a um sistema isolado. A física moderna
admite, entre outras, as seguintes leis de conservação, para as
quais nunca se observou uma violação: a lei da conservação de
energia, do momento linear, do momento angular e das cargas.
Com relação a esse tema, considere um sistema isolado
constituído por N partículas interagindo entre si e com massas e
velocidades iguais a
Com base nessas informações, julgue os itens a seguir.
Provas
Questão presente nas seguintes provas

Provas
Questão presente nas seguintes provas

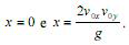
Em 1916, Robert Milikan fez o famoso experimento (efeito fotoelétrico) cujo princípio está esquematizado na figura I acima. Nesse experimento, foi verificado que, quando um feixe de luz atinge uma placa metálica, elétrons são emitidos. O gráfico da figura II acima apresenta o resultado do experimento do efeito fotoelétrico para o sódio metálico, no qual observa-se que, abaixo de um dado potencial (potencial de corte), não há emissão de elétrons.
Tendo como referência as informações acima, julgue os próximos itens.
Provas
Questão presente nas seguintes provas
Um elétron em um átomo no estado fundamental tem energia igual a
!40 eV. No seu primeiro estado excitado, a energia é igual a !10 eV.
Considere que o átomo é atingido por um feixe de fótons cada um com
energia de 30 eV. Nessas condições, julgue os itens que se seguem.
O elétron, ao absorver energia de 2 fótons, ficará excitado no segundo estado excitado, emitirá um fóton de 20 eV, e passará para primeiro estado excitado, e, emitindo um segundo fóton, voltará ao estado fundamental.!40 eV. No seu primeiro estado excitado, a energia é igual a !10 eV.
Considere que o átomo é atingido por um feixe de fótons cada um com
energia de 30 eV. Nessas condições, julgue os itens que se seguem.
Provas
Questão presente nas seguintes provas
Um elétron em um átomo no estado fundamental tem energia igual a
!40 eV. No seu primeiro estado excitado, a energia é igual a !10 eV.
Considere que o átomo é atingido por um feixe de fótons cada um com
energia de 30 eV. Nessas condições, julgue os itens que se seguem.
O elétron, ao absorver a energia de um fóton, passará do estado fundamental ao primeiro estado excitado e, rapidamente, absorverá um segundo fóton, sendo promovido para o segundo estado excitado, onde permanecerá sem emitir fóton.!40 eV. No seu primeiro estado excitado, a energia é igual a !10 eV.
Considere que o átomo é atingido por um feixe de fótons cada um com
energia de 30 eV. Nessas condições, julgue os itens que se seguem.
Provas
Questão presente nas seguintes provas
Um elétron em um átomo no estado fundamental tem energia igual a
!40 eV. No seu primeiro estado excitado, a energia é igual a !10 eV.
Considere que o átomo é atingido por um feixe de fótons cada um com
energia de 30 eV. Nessas condições, julgue os itens que se seguem.
A frequência da radiação absorvida pelo elétron ao absorver a energia de um fóton, de acordo com o modelo atômico de Bohr, depende do raio das órbitas envolvidas.!40 eV. No seu primeiro estado excitado, a energia é igual a !10 eV.
Considere que o átomo é atingido por um feixe de fótons cada um com
energia de 30 eV. Nessas condições, julgue os itens que se seguem.
Provas
Questão presente nas seguintes provas
Cadernos
Caderno Container