Foram encontradas 25 questões.
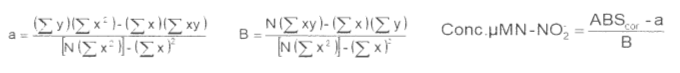
Foram preparados cinco padrões de nitrito dissolvido (N-NO2-) e uma prova em branco. Suas absorbâncias foram lidas utilizando uma cubeta com trajeto óptico (TO) de 50 mm, em um espectrofotômetro na faixa da luz visível, e apresentadas na tabela abaixo (curva de calibração). Ao analisar uma amostra de água da Área de Proteção Ambiental da Lagoa Verde, obteve-se uma absorbância de 0,284. Dessa forma, ao utilizar as fórmulas abaixo, a concentração em µM de N-NO2- na amostra da água analisada é:
Curva de calibração

Fórmulas

Em que:
x= concentração dos padrões.
y= absorbância dos padrões.
N= Número de padrões mais a prova em branco
Provas
Assinala a alternativa que apresenta um procedimento de quantificação por análise de volumetria complexométrica.
Provas
Deseja-se preparar 500 ml de solução estoque de dihidrogeno fosfato de potássio anidro (KH2PO4), com concentração de 5.000 µM de P-PO43-_ Quanto se deve pesar?
Dados: Massas atômicas (g moI1) K= 39, 10; H= 1,01; P= 30,97 e O= 16,00.
Provas
O "Plano de gerenciamento de resíduos químicos perigosos" é um instrumento de gestão elaborado a partir da Política Nacional de Resíduos Sólidos (PNRS), instituído pela Lei nº 12.305, de 2 de agosto de 201 O. Seu objetivo é realizar uma análise detalhada do gerenciamento dos resíduos, a fim de propor ações, metas e indicadores que garantam a conformidade com as normas vigentes e assegurem a destinação adequada dos resíduos gerados pelas atividades da Instituição. Segundo Jardim (1998), um programa desses, deve contemplar dois tipos de resíduos: o ativo e o passivo. A caracterização do passivo nem sempre é possível, além disso, o tempo e os esforços gastos com esta atividade inicial devem ser bem equacionados para que não haja um desestímulo logo no início. É importante lembrar que essa caracterização prioriza o reciclo e o reúso de tudo que for possível, bem como habilita o resíduo para a sua destinação final. A caracterização preliminar de resíduos químicos não-identificados pode ser realizada por meio de uma série de testes simples a seguir. Sendo assim, associa a segunda coluna (procedimento) de acordo com a primeira (teste).
Teste
(1) Resíduo redutor
(2) Presença de halogênios
(3) Presença de cianetos
(4) Presença de sulfetos
(5) Reatividade com água
Procedimento
( ) Adiciona-se uma gota de cloroamina-T e uma gota de ácido barbitúrico/piridina em três gotas de resíduo. A cor vermelha indica teste positivo.
( ) Observa-se a possível descoloração de um papel umedecido em 2,6- dicloro-indofenol ou azul de metileno.
( ) Na amostra acidificada com HCℓ, o papel embebido em acetato de chumbo fica enegrecido.
( ) Adiciona-se uma gota de água e observa-se a formação de chama, geração de gás ou qualquer outra reação violenta.
( ) Coloca-se um fio de cobre limpo e aquecido previamente ao rubro no resíduo e leva-se à chama. A cor verde indica teste positivo.
Assinala a alternativa que apresenta a sequência correta de preenchimento dos parênteses, quando lida de cima para baixo.
Provas
A determinação do oxigênio dissolvido (OD) em amostras de água pode ser realizada pelo método de Winkler, que envolve reações de oxirredução. Nessa técnica, uma solução de manganês II é adicionada à amostra e o oxigênio presente na água oxida o íon manganês para uma forma de manganês IV. Esse manganês IV então reage com íons iodeto (I-), liberando iodo molecular (I2), que é, posteriormente, titulado com uma solução padrão de tiossulfato de sódio (Na2S2O3).
As reações envolvidas são:
O2 + 2Mn2+ + 4OH \( ↔ \) 2MnO2 + 2H2O
MnO2 + 2I- + 4H+ \( ↔ \) Mn2+ + I2 + 2H2O
I2 + 2S2O32- \( ↔ \) 2I- + S4O62-
Com base nas informações acima, assinala a alternativa correta.
Provas
A cromatografia é uma técnica que separa, identifica e quantifica as espécies. A separação baseia-se nas diferenças de distribuição das substâncias entre a fase estacionária e uma fase móvel. Analisa as afirmativas e assinala V para as afirmativas verdadeiras e F para as falsas.
( ) No detector por captura de elétrons, quando as moléculas da amostra atingem a chama, elas sofrem combustão, ocorrendo a formação de íons, que são coletados por um eletrodo. Esse detector é empregado na análise de compostos organoclorados.
( ) Tempo morto é o tempo decorrido entre a injeção da amostra e o aparecimento do pico do soluto no detector.
( ) Padrão interno é uma quantidade conhecida de uma substância que é adicionada tanto em cada solução da curva de calibração quanto na amostra e a razão entre a área do pico do analito e a do padrão interno é utilizada na quantificação.
( ) A utilização de uma temperatura constante, durante a análise, melhora a simetria dos picos e diminui o tempo de corrida cromatográfica
A ordem correta de preenchimento dos parênteses, de cima para baixo, é:
Provas
Em relação às reações de substituição nucleofilica (SN) e de eliminação, analisa as afirmativas abaixo.
I. O substrato terciário favorece a via de reação SN1.
II. Na reação de eliminação, há aumento da entropia, que é favorecido pelo aumento da temperatura.
III. Na SN2, ocorre inversão da configuração da molécula e formação de um carbocátion.
IV. O produto de uma reação de eliminação é um alcano.
V. Solvente polar prático, como o DMSO, favorece a SN2.
Assinala a alternativa que apresenta somente afirmativas corretas:
Provas
Analisa afirmativas relacionadas aos compostos a seguir.

I. Ambos compostos apresentam o mesmo arranjo espacial.
II. Ambos compostos possuem dois carbonos quirais. Isomeria
III. Os compostos possuem propriedades físicas e químicas diferentes.
IV. Os compostos são imagem especular um do outro.
V. Os compostos são, respectivamente, isômero eis e isômero trans.
Assinala a alternativa que apresenta somente afirmativas corretas:
Provas
Assinala a alternativa que apresenta a sequência correta de preenchimento dos parênteses, de cima para baixo, quanto à relação dos isômeros com o tipo de isomeria a que pertencem.
lsômeros
( ) ácido hexanóico e acetato de butila
( ) Metoxipropano e etoxietano
( ) Butanal e butanona
( ) 1-hexino e ciclo hexeno
( ) hexeno e 4-metil-1-penteno
Isomeria
(1) de cadeia
(2) de posição
(3) de função
Provas
As propriedades físicas dos compostos são determinadas pelas forças atrativas e repulsivas. A ordem crescente do ponto de ebulição dos compostos abaixo é:

Provas
Caderno Container