Foram encontradas 1.792 questões.

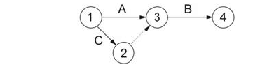
Considerando a figura acima, que mostra um esquema de um trecho de uma rede PERT/CPM, julgue os itens a seguir.
As letras indicam as atividades a serem realizadas.
Provas

Considerando a figura acima, que mostra um esquema de um trecho de uma rede PERT/CPM, julgue os itens a seguir.
Os números nos círculos indicam o grau de dificuldade de execução de cada etapa da rede.
Provas

A figura acima mostra um esquema típico de entrada de água em edifícios, na qual vários componentes aparecem identificados pelas letras de A a F. Com relação à instalação apresentada, é corrreto afirmar que o componente identificado pela letra
F é um registro de limpeza de tubulação.
Provas

A figura acima mostra um esquema típico de entrada de água em edifícios, na qual vários componentes aparecem identificados pelas letras de A a F. Com relação à instalação apresentada, é corrreto afirmar que o componente identificado pela letra
E é um filtro.
Provas

A figura acima mostra um esquema típico de entrada de água em edifícios, na qual vários componentes aparecem identificados pelas letras de A a F. Com relação à instalação apresentada, é corrreto afirmar que o componente identificado pela letra
D é um registro de bóia.
Provas

A figura acima mostra um esquema típico de entrada de água em edifícios, na qual vários componentes aparecem identificados pelas letras de A a F. Com relação à instalação apresentada, é corrreto afirmar que o componente identificado pela letra
C é uma bomba de recalque submersa.
Provas

A figura acima mostra um esquema típico de entrada de água em edifícios, na qual vários componentes aparecem identificados pelas letras de A a F. Com relação à instalação apresentada, é corrreto afirmar que o componente identificado pela letra
B é um registro de passeio.
Provas

A figura acima mostra um esquema típico de entrada de água em edifícios, na qual vários componentes aparecem identificados pelas letras de A a F. Com relação à instalação apresentada, é corrreto afirmar que o componente identificado pela letra
A é um registro de derivação.
Provas
A utilização apropriada e a estocagem dos materiais de construção influenciam os custos, a produtividade da construção e a durabilidade desses materiais. Com relação a esse assunto, julgue os itens de 81 a 85.
A cal hidratada pode ser estocada em contato direto com o solo, desde que o nível d'água do terreno esteja a uma profundidade superior a 15 cm.
Provas
A utilização apropriada e a estocagem dos materiais de construção influenciam os custos, a produtividade da construção e a durabilidade desses materiais. Com relação a esse assunto, julgue os itens de 81 a 85.
A primeira camada de sacos de cimento de uma pilha deve ser colocada sobre estrados de madeira, ou material equivalente, de forma a evitar o contato com o solo.
Provas
Caderno Container