Foram encontradas 70 questões.
Uma determinada viga, com vão L, está submetida a uma carga distribuída de valor q e apresenta a seguinte equação da linha elástica:
y = \( \dfrac{q}{48EJ} \) (2x4 - 3Lx3 + L x3)
onde E é o módulo de elasticidade do material da viga, J seu momento de inércia em relação ao eixo de flexão e x define o eixo logitudinal. A viga está impedida de se deslocar horizontalmente em todos os seus apoios.
O ponto correspondente a x = 0
Provas
- Gerenciamento, Planejamento e Controle de Obras
- Orçamento no Planejamento e Controle de Obras na Engenharia Civil
Considere que a célula F2 do EXCEL armazene a expressão =A2*(B2+C2)^D2 em função dos conteúdos das células A2, B2, C2 e D2. Se os conteúdos das células forem A2=5, B2=2, C2=3 e D2=4, o valor exibido na célula F2 será
Provas
Provas
Provas
Provas
Provas
Provas
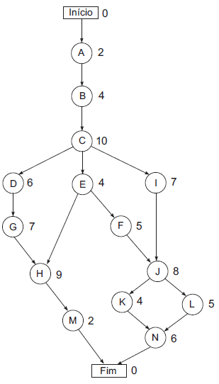
A figura a seguir apresenta a sequência de atividades a serem realizadas em um projeto, sendo a duração das atividades definida em dias.

O tempo final mais tarde da atividade H é
Provas
Provas
A figura a seguir apresenta a sequência de atividades a serem realizadas em um projeto, sendo a duração das atividades definida em dias.

A duração do caminho crítico, em dias, é igual a
Provas
Caderno Container