Foram encontradas 467 questões.
- Desenvolvimento SustentávelConceitos e Fundamentos do Desenvolvimento Sustentável
- Desenvolvimento SustentávelGestão Ambiental
A contribuição para a promoção do desenvolvimento
sustentável, deve levar em consideração a problemática
ambiental e o uso dos recursos naturais existentes.
Sobre este assunto, assinale a alternativa correta.
Provas
Questão presente nas seguintes provas
Cuida da geração de boas condições de cultivo
que estimulem o desenvolvimento de meso e
microrganismo, com utilização de nutrientes. É o
princípio de ação que visa produção sustentável e de
interesse humano. Sobre esse contexto, assinale a
alternativa correta.
Provas
Questão presente nas seguintes provas
Uma mulher deseja prestar um concurso para o cargo
de Técnico Extensionista. Para ser admitida ela deve
apresentar algumas características que garantam
um bom desempenho de trabalho. A esse respeito,
assinale a alternativa correta.
Provas
Questão presente nas seguintes provas
As rochas metamórficas resultam de alterações
de temperatura e pressão. O metamorfismo pode
ocorrer de diversas maneiras. Sendo assim, analise
as afirmativas abaixo sobre os processos que podem
levar ao metamorfismo.
I. Metamorfismo de impacto: reajustamento devido ao choque de meteoritos com a superfície rochosa. Forma se impactitos. II. Metamorfismo regional: tem lugar a profundidades consideráveis, numa área extensa e está associado ao processo de formação de montanhas (orogênese). Podem ser de alta e baixa pressão. III. Metamorfismo de contato: apresenta-se em zonas limitadas (auréolas) adjacentes a um foco magmático. IV. Metamorfismo hidrotermal: processo de reajustamento induzido por um fluído aquoso a temperaturas elevadas. V. Metamorfismo de afundamento: metamorfismo de âmbito regional que se processa sob a ação de temperatura e pressão litostática. Resulta de fenômenos de subsidência e nele não intervém pressões orientadas.
Estão corretas as afirmativas:
I. Metamorfismo de impacto: reajustamento devido ao choque de meteoritos com a superfície rochosa. Forma se impactitos. II. Metamorfismo regional: tem lugar a profundidades consideráveis, numa área extensa e está associado ao processo de formação de montanhas (orogênese). Podem ser de alta e baixa pressão. III. Metamorfismo de contato: apresenta-se em zonas limitadas (auréolas) adjacentes a um foco magmático. IV. Metamorfismo hidrotermal: processo de reajustamento induzido por um fluído aquoso a temperaturas elevadas. V. Metamorfismo de afundamento: metamorfismo de âmbito regional que se processa sob a ação de temperatura e pressão litostática. Resulta de fenômenos de subsidência e nele não intervém pressões orientadas.
Estão corretas as afirmativas:
Provas
Questão presente nas seguintes provas
Leia o texto publicado na Revista Exame:
Estudos desenvolvidos por pesquisadores das Universidades Federal do Pará e do Amazonas, aponta que a Amazônia possui uma reserva de água subterrânea com volume estimado em mais de 160 trilhões de metros cúbicos...O volume é 3,5 vezes maior do que o do Aquífero Guarani... “A reserva subterrânea representa mais de 80% do total da água da Amazônia. A água dos rios amazônicos, por exemplo, representa somente 8% do sistema hidrológico do bioma e as águas atmosféricas têm, mais ou menos, esse mesmo percentual de participação”,
O estudo indicou que o aquífero, teria um depósito de água doce subterrânea com volume estimado em 86,4 trilhões de metros cúbicos...O Aquífero Alter do Chão integra um sistema hidrogeológico que abrange as bacias sedimentares do Acre, Solimões, Amazonas e Marajó. De forma conjunta, essas quatro bacias possuem, aproximadamente, uma superfície de 1,3 milhão de quilômetros quadrados... Denominado pelos pesquisadores de Sistema Aquífero Grande Amazônia (Saga), o sistema hidrogeológico começou a ser formado a partir do período Cretáceo, há cerca de 135 milhões de anos. Em razão de processos geológicos ocorridos nesse período foi depositada, nas quatro bacias sedimentares, uma extensa cobertura sedimentar, com espessuras da ordem de milhares de metros...O Saga é um sistema hidrogeológico transfronteiriço, uma vez que abrange outros países da América do Sul. Mas o Brasil detém 67% do sistema”...Uma das limitações à utilização da água disponível no reservatório, contudo, é a precariedade do conhecimento sobre a sua qualidade, apontaram os pesquisadores.
Além disto, a Amazônia transfere, na interação entre a floresta e os recursos hídricos, associada ao movimento de rotação da Terra, cerca de 8 trilhões de metros cúbicos de água anualmente para outras regiões do Brasil. Essa água, que não é utilizada pela população que vive aqui na região, representa um serviço ambiental colossal prestado pelo bioma ao país, uma vez que sustenta o agronegócio brasileiro e o regime de chuvas responsável pelo enchimento dos reservatórios produtores de hidroeletricidade nas regiões Sul e Sudeste do país”, avaliam os pesquisadores. (Fonte: Revista Exame. Amazônia tem oceano subterrâneo. https:// exame.abril.com.br/tecnologia/amazonia-tem-oceano-subterraneo/)
Sobre o tema discutido no texto, analise as afirmativas abaixo:
I. O texto trata sobre aquíferos de porosidade primária. II. O desmatamento em curso na Amazônia tende a aumentar os eventos climáticos extremos em outras regiões do Brasil, como a seca na região Sudeste em 2014. III. O Saga hoje é o maior aquífero do mundo, porém é muito pouco estudado. IV. Os pacotes sedimentares que compõem o Saga, são todos compostos de grãos bem selecionados, com predomínio de areias.
Estão corretas as afirmativas:
Estudos desenvolvidos por pesquisadores das Universidades Federal do Pará e do Amazonas, aponta que a Amazônia possui uma reserva de água subterrânea com volume estimado em mais de 160 trilhões de metros cúbicos...O volume é 3,5 vezes maior do que o do Aquífero Guarani... “A reserva subterrânea representa mais de 80% do total da água da Amazônia. A água dos rios amazônicos, por exemplo, representa somente 8% do sistema hidrológico do bioma e as águas atmosféricas têm, mais ou menos, esse mesmo percentual de participação”,
O estudo indicou que o aquífero, teria um depósito de água doce subterrânea com volume estimado em 86,4 trilhões de metros cúbicos...O Aquífero Alter do Chão integra um sistema hidrogeológico que abrange as bacias sedimentares do Acre, Solimões, Amazonas e Marajó. De forma conjunta, essas quatro bacias possuem, aproximadamente, uma superfície de 1,3 milhão de quilômetros quadrados... Denominado pelos pesquisadores de Sistema Aquífero Grande Amazônia (Saga), o sistema hidrogeológico começou a ser formado a partir do período Cretáceo, há cerca de 135 milhões de anos. Em razão de processos geológicos ocorridos nesse período foi depositada, nas quatro bacias sedimentares, uma extensa cobertura sedimentar, com espessuras da ordem de milhares de metros...O Saga é um sistema hidrogeológico transfronteiriço, uma vez que abrange outros países da América do Sul. Mas o Brasil detém 67% do sistema”...Uma das limitações à utilização da água disponível no reservatório, contudo, é a precariedade do conhecimento sobre a sua qualidade, apontaram os pesquisadores.
Além disto, a Amazônia transfere, na interação entre a floresta e os recursos hídricos, associada ao movimento de rotação da Terra, cerca de 8 trilhões de metros cúbicos de água anualmente para outras regiões do Brasil. Essa água, que não é utilizada pela população que vive aqui na região, representa um serviço ambiental colossal prestado pelo bioma ao país, uma vez que sustenta o agronegócio brasileiro e o regime de chuvas responsável pelo enchimento dos reservatórios produtores de hidroeletricidade nas regiões Sul e Sudeste do país”, avaliam os pesquisadores. (Fonte: Revista Exame. Amazônia tem oceano subterrâneo. https:// exame.abril.com.br/tecnologia/amazonia-tem-oceano-subterraneo/)
Sobre o tema discutido no texto, analise as afirmativas abaixo:
I. O texto trata sobre aquíferos de porosidade primária. II. O desmatamento em curso na Amazônia tende a aumentar os eventos climáticos extremos em outras regiões do Brasil, como a seca na região Sudeste em 2014. III. O Saga hoje é o maior aquífero do mundo, porém é muito pouco estudado. IV. Os pacotes sedimentares que compõem o Saga, são todos compostos de grãos bem selecionados, com predomínio de areias.
Estão corretas as afirmativas:
Provas
Questão presente nas seguintes provas
Medidas feitas com amostras de ar aprisionado no
interior de blocos de gelo da Antártida e Groenlândia,
indicam que a concentração de carbono em eras pré-industriais (i.e, antes de 1750) era aproximadamente
280 ppmv. A concentração aumentou em um terço para
382 ppmv, até 2006. No período entre 1975 e 2000, a
concentração cresceu a uma velocidade média anual
de cerca de 0,4%, ou 1,6 ppmv, quase o dobro dos
anos 60. A velocidade de aumento na primeira metade
da década do século XXI elevou em cerca de 2,0 ppmv
anualmente, como ilustra a figura abaixo.

Fonte: BAIRD C., COLIN M. Química Ambiental - 4ª edição, Ed. Bookman, Porto Alegre, 2011.
Com base no texto, no gráfico e nos seus conhecimentos, assinale a alternativa incorreta.

Fonte: BAIRD C., COLIN M. Química Ambiental - 4ª edição, Ed. Bookman, Porto Alegre, 2011.
Com base no texto, no gráfico e nos seus conhecimentos, assinale a alternativa incorreta.
Provas
Questão presente nas seguintes provas
O magma forma-se em condições estreitamente
conectadas com os movimentos das placas
tectônicas litosféricas. Esses movimentos controlam
a distribuição espacial dos processos de fusão das
rochas da crosta e, do manto superior e, a natureza
intrusiva ou extrusiva dos magmas, como demonstra
a figura abaixo. Sobre os magmas associados aos
tipos de eventos nas placas tectônicas e as formas de
deposição do magma, assinale a alternativa incorreta.
Fonte: PRESS, F.; SIEVER, R.; GROTZINGER, J.; JORDAN, T. H.
Para entender a Terra. 4° ed. Bookman, 2006.
Fonte: PRESS, F.; SIEVER, R.; GROTZINGER, J.; JORDAN, T. H.
Para entender a Terra. 4° ed. Bookman, 2006.Provas
Questão presente nas seguintes provas
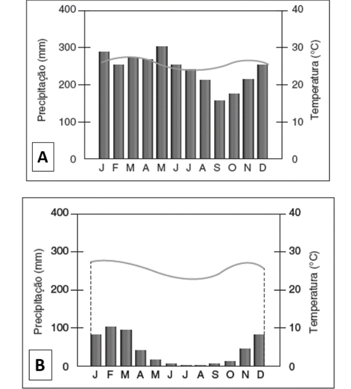
Observe os climogramas abaixo. Os mesmos
representam duas cidades hipotéticas, sendo que no
lado esquerdo de cada gráfico, representado pelas
barras, temos a precipitação e o direito e representado
pelas linhas, temos a temperatura
Fonte: Adaptado de RUDDIMAN W. F. A Terra Transformada. Ed. Bookman, Porto Alegre, 2016.
Agora analise as afirmativas sobre os processos naturais e geológicos que ocorrem nestas duas regiões.
I. Na região A predomina o intemperismo químico e na região B predomina o intemperismo físico. II. A região A é uma região de clima subtropical, enquanto a Região B é de clima semiárido. III. Na região B temos formação de Argilas Gibbsíticas e na região A predominam os solos arenosos. IV. Na região A temos normalmente solos bem desenvolvidos e argilosos, na região B os solos são mais rasos e arenosos em geral.
Estão corretas as afirmativas:
Fonte: Adaptado de RUDDIMAN W. F. A Terra Transformada. Ed. Bookman, Porto Alegre, 2016.
Agora analise as afirmativas sobre os processos naturais e geológicos que ocorrem nestas duas regiões.
I. Na região A predomina o intemperismo químico e na região B predomina o intemperismo físico. II. A região A é uma região de clima subtropical, enquanto a Região B é de clima semiárido. III. Na região B temos formação de Argilas Gibbsíticas e na região A predominam os solos arenosos. IV. Na região A temos normalmente solos bem desenvolvidos e argilosos, na região B os solos são mais rasos e arenosos em geral.
Estão corretas as afirmativas:
Provas
Questão presente nas seguintes provas
O delta é a terminação de um curso de água no mar ou
em lago, que se divide em vários braços em uma zona
onde a sedimentação é importante. Segundo Galloway,
os diferentes deltas podem ser agrupados em três tipos
principais de feições, como demonstra a figura abaixo
Fonte: POMEROL C., LAGABRIELLE Y, RENARD M., GUILLOT S. Princípios de Geologia - Técnicas, Modelos e Teorias, Ed. Bookman, Porto Alegre, 2014.
Sobre os diferentes tipos de deltas, podemos afirmar que os triângulos A, B e C possuem dinâmica predominante em função do ambiente de sedimentação. Nesse sentido, assinale a alternativa correta.
Fonte: POMEROL C., LAGABRIELLE Y, RENARD M., GUILLOT S. Princípios de Geologia - Técnicas, Modelos e Teorias, Ed. Bookman, Porto Alegre, 2014. Sobre os diferentes tipos de deltas, podemos afirmar que os triângulos A, B e C possuem dinâmica predominante em função do ambiente de sedimentação. Nesse sentido, assinale a alternativa correta.
Provas
Questão presente nas seguintes provas
Existem três tipos de aquíferos: os porosos, comuns em
regiões sedimentares clásticas; os cársticos, comuns
em regiões de rochas carbonáticas e os fraturados,
comuns, principalmente, em regiões de rochas rúpteis,
normalmente áreas de rochas metamórficas e ígneas.
Sobre os aquíferos fraturados, assinale a alternativa
que apresenta os fatores que controlam naturalmente
a vazão em um poço tubular
Provas
Questão presente nas seguintes provas
Cadernos
Caderno Container