Foram encontradas 40 questões.
Considerando-se o microcontrolador PIC18F4520, analise o código assembly a seguir.
ORG 0x00
INICIO:
LFSR 0,0x000
MOVLW 3
SETUP:
MOVWF POSTINC0,ACCESS
DECF WREG,w,ACCESS
BNZ SETUP
DECF FSR0L,f,ACCESS
MOVF POSTDEC0,w,ACCESS
ADDWF POSTDEC0,w,ACCESS
SUBWF POSTDEC0,f,ACCESS
NOP
Considerando-se todos os registradores envolvidos na operação inicialmente em zero, qual o valor armazenado na memória no endereço 0x00 do banco 0 ao fim da execução destas?
Provas
Para o circuito contador apresentado na figura a seguir as entradas J e K estão ligados em nível lógico 1.

Para um o sinal clock com frequência de 720 Hz, é correto afirmar que a frequência do sinal em D será de, aproximadamente, quantos Hz?
Provas
Considere a seguinte expressão booleana:
!$ x \, = \, A \bar{B}C \, + \, C\bar{D} \, + \, AB \bar{C} \bar{D} \, + \, \bar{A} B \bar{C} \bar{D} \, + \, \bar{C} \bar{B} + CD \bar{B} !$
Qual a versão simplificada da equação booleana anterior?
Provas
Considere o circuito a seguir.

O circuito é formado por uma fonte de corrente contínua I, um indutor L, um resistor R e uma chave S.
Considere que a chave seja fechada no instante de tempo t=0s.
Nesta condição, é correto afirmar que
Provas
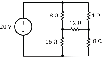
O circuito a seguir apresenta uma fonte de tensão aplicada em diversas resistências.

Qual a potência entregue pela fonte de tensão de corrente contínua de 20 V?
Provas
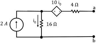
Considere circuito a seguir.

O valor do resistor RL a ser conectado entre os terminais A e B para absorver a máxima potência deverá ser de
Provas
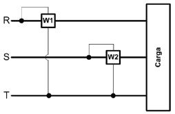
O método dos dois wattímetros é, de modo geral, o mais utilizado para medições de potência trifásica.
Para tal, os dois wattímetros devem estar ligados apropriadamente a duas fases quaisquer do sistema trifásico, conforme a figura apresentada a seguir, em que W1 e W2 representam os dois wattímetros.

Em relação a este método de medição de potência é correto afirmar, EXCETO:
Provas
No que se refere ao problema do fluxo de potência em redes de energia elétrica, analise as afirmações a seguir.
I - O fluxo de potência ativa nas linhas de transmissão é majoritariamente impactado pela defasagem angular entre as barras.
II - Durante o processo de cálculo do fluxo de potência, pode ser necessária a transformação de barras do tipo PV para o tipo PQ, caso a quantidade de potência reativa para manter a tensão seja insuficiente.
III - Uma das finalidades das barras do tipo V!$ \theta !$ é a de fechar o balanço de potência da rede.
Está correto apenas o que se afirma em
Provas
A potência ativa transmiti da por uma linha de transmissão pode ser aumentada com a compensação série. Nesta condição, a compensação pode ser feita com o uso de capacitores de forma a reduzir os efeitos indutivos das linhas.
Dentre as vantagens da instalação de capacitores em série é correto citar, EXCETO que
Provas
Um transformador trifásico possui o seguinte circuito equivalente de sequência zero.

Considerando-se que Z0 seja a impedância de sequência zero, BT o lado de baixa tensão e AT o lado de alta tensão, a correta ligação é do transformador com
Provas
Caderno Container