Foram encontradas 40 questões.
Qual o valor da expressão
?
?Provas
Questão presente nas seguintes provas
O sistema de equações
tem
como solução o par ordenado (x, y). Sendo
assim, 6x − 8y é igual a
Provas
Questão presente nas seguintes provas
No ΔABC, med(
) = med (
) = 45º
,
é a bissetriz do ângulo interno
e
é a bissetriz do ângulo interno
. Qual é
a medida do ângulo
?

Provas
Questão presente nas seguintes provas
O trapézio isósceles ABCD foi construído a
partir de triângulos equiláteros
congruentes. Sendo 3√8 cm a medida da
base maior do trapézio, quanto mede a
área sombreada na figura?


Provas
Questão presente nas seguintes provas
Tales de Mileto foi um matemático grego
que viveu por volta de 546 a.C e é
considerado um dos “sete sábios” da
antiguidade. De acordo com o seu teorema,
qualquer reta paralela a um dos lados de
um triângulo que intercepta os outros dois
lados, divide esses lados em segmentos
proporcionais. A partir dessa definição, qual
é a medida do segmento
representado na figura seguinte, sabendo-se que
//
, AB=EC=6 cm, BE=2 cm e DC=7,5 cm ?

representado na figura seguinte, sabendo-se que
//
, AB=EC=6 cm, BE=2 cm e DC=7,5 cm ? 
Provas
Questão presente nas seguintes provas
Na figura seguinte, considerando-se que
o polígono
ABCD
é um quadrado cujo
lado mede
6 cm
e que
AE = CG = 1,5 cm ,
a medida de
, em
cm
, é

, em
cm
, é 
Provas
Questão presente nas seguintes provas
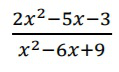
Qual a forma mais simples da expressão
, sendo x ≠ 3?
, sendo x ≠ 3?Provas
Questão presente nas seguintes provas
Considerando-se que α² + 2α = 15 e b² - 6b = 11, a maior raiz da equação x² = (α +1)² + (b - 3)² , na incógnita
x
, é
Provas
Questão presente nas seguintes provas
Qual é o número de diagonais de um
polígono regular cuja soma das medidas dos
seus ângulos internos é 1440º
?
Provas
Questão presente nas seguintes provas
O valor numérico da expressão
(k. x
2 + 4x − 5)
5 para x = 1 é 32. Qual o
valor da expressão 2k
?
Provas
Questão presente nas seguintes provas
Cadernos
Caderno Container