Foram encontradas 230 questões.

O código implementa de uma estrutura de dados que estende uma classe concreta ArrayList para outra classe concreta Stack. A classe ArrayList possui alguns métodos como o add() (adiciona elementos na lista), o remove() (remove elementos da lista) e o clear() (que remove todos os elementos da lista).
Considere as afirmações relacionadas ao código fonte.
I – O método clear() não é executado porque ele não foi implementado na classe Stack.
II – A herança entre essas classes gera um alto grau de acoplamento.
III – Após a execução do método clear(), a variável top ficará desatualizada.
Está CORRETO o que consta em:
Provas

O código implementa de uma estrutura de dados que estende uma classe concreta ArrayList para outra classe concreta Stack. A classe ArrayList possui alguns métodos como o add() (adiciona elementos na lista), o remove() (remove elementos da lista) e o clear() (que remove todos os elementos da lista).
Após executar o código, qual será o resultado?
Provas

Considere os princípios e padrões de projetos implementados no código.
I – Injeção de dependência
II – Inversão de controle
III – Injeção por construtor
Está CORRETO o que consta em:
Provas

Qual Padrão de Projeto foi implementado nesse código?
Provas
A seguir, é apresentado um código que implementa uma estrutura de dados utilizando a linguagem de programação Java. A classe LinkedList é uma implementação de fila convencional e utiliza o método add() para incluir um elemento na fila e o remove() para removê-lo. A classe Stack implementa uma pilha e utiliza o método push() para empilhar e o pop() para desempilhar.

Após a execução, qual é a saída do programa acima?
Provas
- Fundamentos de ProgramaçãoEstruturas de DadosEstrutura de Dados: ÁrvoreÁrvore AVL
- Fundamentos de ProgramaçãoEstruturas de DadosEstrutura de Dados: ÁrvoreÁrvore B ou B+ Tree
- Fundamentos de ProgramaçãoEstruturas de DadosEstrutura de Dados: ÁrvoreÁrvore Rubro-Negra
Considere as afirmações abaixo sobre estruturas de dados em árvore.
I – Uma árvore AVL (Adelson-Velskii e Landis) é uma árvore na qual as alturas das subárvores esquerda e direita de cada nó diferem no máximo em um elemento.
II – A árvore B é uma estrutura de dados que foi projetada para minimizar o número de acessos à memória secundária, sendo que cada nó associado pode ter mais de uma chave.
III – Uma Black-Red Tree é uma árvore B+ que possui um bit extra para armazenar a cor de cada nó.
Está CORRETO o que consta em:
Provas
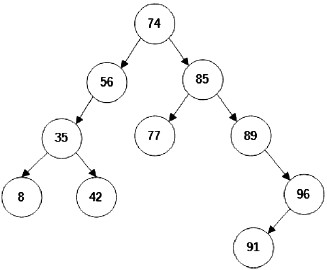
Dada a árvore de busca binária da imagem a seguir, insira os elementos 23, 12, 64, 93, 71 e 86 (nessa ordem).

Após a inserção, qual é a saída do percurso pós-ordem?
Provas
Thomas Hobbes (1588-1679) foi um dos importantes teóricos contratualistas, teorizando a concepção de contrato social em seu livro Leviatã. Tendo como base o jusnaturalismo, criticou as ideias absolutistas predominantes em sua época. Sobre a Filosofia Política de Hobbes, é CORRETO afirmar que:
Provas
Immanuel Kant (1724-1804) foi um dos mais importantes filósofos da modernidade, inaugurando discussões fundamentais para o pensamento posterior e contemporâneo. Dentre os temas estudados pelo filósofo alemão, um dos que mais se destacam é a Filosofia Moral. Tendo como fundamento o pensamento kantiano, assinale a alternativa INCORRETA.
Provas
No século XVIII, surge a importante corrente filosófica conhecida como Iluminismo. Os pensadores desse período entendiam como possível reorganizar o mundo humano por meio da razão. Por isso, esse período é conhecido como Século das Luzes e do Esclarecimento. Um dos importantes pensadores desse período é Jean-Jacques Rousseau (1712-1778), que tem uma importante contribuição para a Filosofia Política. Sobre o pensamento de Rousseau, assinale (V) para verdadeiro e (F) para falso:
( ) Para Rousseau, os indivíduos no estado natural estavam em guerra constante. Por essa razão, foi necessário o estabelecimento da propriedade privada e do pacto social.
( ) De acordo com Rousseau, há de se considerar a possibilidade de estabelecer-se um novo pacto social, e que nesse novo pacto todos os sujeitos abdiquem dos seus direitos individuais em favor do coletivo.
( ) O conceito de vontade geral defendido por Rousseau nada mais é do que a soma dos interesses da maioria, sendo por definição a vontade de todos.
( ) Na concepção política de Rousseau, há uma diferença fundamental entre soberano e governo, já que, para o filósofo suíço, a soberania é expressa pelo povo, que, de forma direta e por meio da lei instituída, manifesta a vontade geral.
Considerando as afirmações, assinale a alternativa CORRETA:
Provas
Caderno Container