Foram encontradas 549 questões.
Disciplina: Direito Empresarial (Comercial)
Banca: FAU-UNICENTRO
Orgão: IF-PR
O cooperativismo teve seu inicio na Inglaterra no período da Revolução Industrial, atualmente o segmento é um dos que mais se desenvolvem no Brasil, com vários tipos de serviços prestados pelas cooperativas. Referindo-se aos princípios do cooperativismo que devem orientar a cooperativa, é CORRETO afirmar, EXCETO:
Provas
Disciplina: TI - Desenvolvimento de Sistemas
Banca: FAU-UNICENTRO
Orgão: IF-PR
Analise o código Java abaixo:

Assinale a alternativa que contenha a(s) mensagem(ns) exibida(s) na execução do código:
Provas
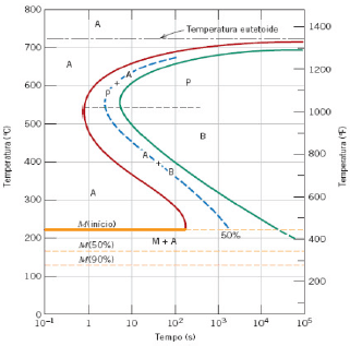
O diagrama de transformação de fase apresentado para baixo para uma liga ferrocarbono com composição eutetoide onde A=austenita; B=bainita; M=martensita; P=perlita. Esta liga passou pelo tratamento térmico de aquecimento acima da temperatura de austenetização, sendo posteriormente resfriado instantâneo para a temperatura de 500 ºC sendo mantido nesta temperatura por 8 segundos e posterior resfriamento instantâneo a temperatura ambiente. Com base neste tratamento térmico e no diagrama apresentado qual a composição final desta liga após a conclusão do tratamento térmico:

Provas
Na higiene e manipulação de alimentos, há protocolos para garantir a qualidade sanitária dos pratos a serem servidos para os clientes. No caso do manipulador de alimentos e bebidas, quais os procedimentos pessoais que devem ser incorporados no seu dia a dia, a fim de garantir a segurança alimentar para os seus clientes?
Provas
Os métodos ágeis compartilham um conjunto de princípios, com base no manifesto ágil, e por isso compartilham vários princípios. Assinale a alternativa correta sobre os princípios comuns aos métodos ágeis:
Provas
As cordas da guitarra elétrica produzem o som devido a aplicação das Leis de Faraday e de Lens. Levando em consideração essas duas leis, as cordas da guitarra NÃO podem ser de:
Provas
Filosofia da linguagem é o ramo da filosofia que estuda a essência e natureza dos fenômenos linguísticos. Ela trata, de um ponto de vista filosófico, da natureza do significado linguístico, da referência, do uso da linguagem, do aprendizado da linguagem, da criatividade dos falantes, da compreensão da linguagem, da interpretação, da tradução, de aspectos linguísticos do pensamento e da experiência. Neste sentido, Ferdinand de Saussure, filósofo da linguagem, exerceu grande influência sobre o campo da, assinale a alternativa correta:
Provas
Para o sistema elétrico de potência no Brasil, nas linhas de distribuição, as unidades consumidoras são classificadas em Grupos A e B para o fornecimento de energia elétrica, ou seja, nestes grupos os consumidores são classificados por faixa de consumo. De acordo com a ANEEL, para as unidades consumidoras classificadas no subgrupo A2 é correto afirmar que:
Provas
Read the proposition of the Diretrizes Curriculares da Educação Básica – Língua Estrangeira Moderna (2008) and consider the followings statements:
“É necessário que o professor [de língua estrangeira] aborde os vários gêneros textuais, em atividades diversificadas, analisando a função do gênero estudado, sua composição, a distribuição de informações, o grau de informação presente ali, a intertextualidade, os recursos coesivos, a coerência e, somente depois, a gramática em si”.
PARANÁ. Diretrizes Curriculares da Educação Básica – Língua Estrangeira Moderna. Secretaria de Estado da Educação, 2008.
I - This proposition endorses the study of grammar in a contextualized way.
II - According to the DCE, even though many other linguistic aspects may be relevant during the learning of a foreign language, one should always have in mind that grammar is its most important part, and this is why it comes at the end of the statement.
III - For developing the reading skill in English, the student should be able to understand texts in their overall contexts, which goes beyond the isolated comprehension of words, sentences, and formal structure.
IV - One of the premises of this proposition is that texts cannot be read in isolation for, in many occasions, the information provided by them dialogues with other sources. The only correct sentences are:
Provas
Utilize o texto abaixo para responder a questão:
Os transtornos hipercinéticos, ditos também como transtornos de déficit de atenção e hiperatividade (TDAH), constituem um grupo de transtornos caracterizados por início precoce (habitualmente durante os cinco primeiros anos de vida), falta de perseverança nas atividades que exigem um envolvimento cognitivo, e uma tendência a passar uma atividade a outra, sem acabar nenhuma, associada a uma atividade global desorganizada, incoordenada e excessiva. De acordo com o guia da federação mundial de TDAH, 2019, (disponível em https://tdah.org.br/wpcontent/ uploads/The_World_Federation_of_A DHD_Guide.pdf) o tratamento para tal transtorno baseia-se no uso de medicamentos estimulantes, 1ª escolha (metilfenidato), e não estimulantes, (clonidina, bupropiona, imipramina) como 2a escolha. A prescrição baseia-se na idade do paciente, presença de outras desordens e disponibilidade dos fármacos que é variável de país para país.
À partir do texto acima analise as sentenças abaixo:
I - A utilização de medicamentos estimulantes para o tratamento do TDAH justifica-se pela sua capacidade simpatomimética em estimular áreas que provoquem aumento da capacidade de concentração.
II - O uso de bupropiona em pacientes convulsivos deve ser administrado com cuidado, pois o mesmo pode interagir com fármacos anticonvulsivantes provocando indução enzimática da metabolização dos anticonvulsivantes.
III - O emprego de Imipramina no tratamento do TDAH deve ser considerado com constante avaliação prévia e posterior da função cardiológica.
Provas
Caderno Container