Foram encontradas 50 questões.
A análise elementar de 100 g de uma substância orgânica revelou um teor de 58,53% de Carbono, 11,38% de Nitrogênio e 4% de Hidrogênio. O espectro de massa dessa substância revelou um pico de íon molecular muito intenso em m/z=77, seguidos de outro intenso em m/z= 51 e de menores em m/z=65 e m/z=93, entre outros.
Associando os dados fornecidos, a estrutura orgânica provável da substância sob análise será:
(Dados, em g/mol: C=12, H= 1, O=16, N=14)
Provas
Na espectroscopia de absorção no ultravioleta (UV), o grupo de átomos que produzirá a absorção de energia é chamado de cromóforo, tendo cada átomo uma absorção típica em nanômetros. E conhecido que a substituição, em um cromóforo, de um hidrogênio por um grupo substituinte altera a posição e a intensidade de uma banda de absorção desse cromóforo. Um substituinte que desloque para energia mais baixa ou para comprimento de onda maior causará deslocamento:
Provas
A indústria Revlon, fundada em 1932, foi a primeira a produzir esmaltes de unhas. Desde a sua criação até hoje, há inúmeros tipos de esmaltes e cores, incluindo os hipoalergênicos, isentos de tolueno, formaldeído e dibutilftalato. Quatro marcas de esmaltes incolores foram testadas quanto ao tipo de solvente alcoólico de sua composição, através do reagente de Jones, uma mistura de trióxido de cromo ou dicromato de sódio em ácido sulfúrico diluído.

O esmalte que testou positivo frente ao teste de Jones foi o:
Provas
Estereoisômeros são isômeros que diferem apenas no rearranjo de seus átomos no espaço. O gliceraldeído é um monossacarídeo do tipo triose, sendo um composto orgânico sólido, cristalino e de sabor adocicado. Ao observar a estrutura do gliceraldeído, pode-se constatar a existência de duas configurações, conforme a imagem abaixo.

Com base nas estruturas e características relativas aos isômeros do gliceraldeído, pode-se afirmar que eles são:
Provas
Inúmeras espécies de plantas, flores e frutas possuem substâncias coloridas em sua seiva que mudam de cor conforme o pH do meio em que estão inseridas, sugerindo que tais espécies podem atuar como indicadores ácido-base. Os indicadores são substâncias capazes de mudar de cor dependendo das características físico-químicas da solução na qual estão contidas. Em relação aos indicadores ácido-base, é correto afirmar:
Provas
A erupção vulcânica da ilha vulcânica Hunga Tonga-Hunga Ha'apai, que ocorreu em janeiro de 2022, veio acompanhada de cinzas vulcânicas, gases que acentuam o caráter ácido da chuva por sua reação com a água presente na atmosfera e muitas partículas que se dispersaram no ar. Cinco amostras de água de chuva, de 5 mL, foram coletadas em diversos pontos na Nova Zelândia, país situado à leste de Tonga. Em uma dessas amostras, a quantidade de ácido sulfuroso, no volume descrito, foi igual a 0,00164 g, o que infere que o pH da amostra analisada foi igual a:
(Dados, em g/mol: S=32, H= 1, 0=16; log 2 =0,3; considerar todos os hidrogênios ionizáveis)
Provas
Inserida no campo da volumetria oxidimétrica, a determinação permanganimétrica de nitrito se dá em meio ácido, onde o ânion nitrito é quantitativamente oxidado a nitrato pelo ânion permanganato, observando-se também a produção de cátion bivalente de manganês e água. A soma dos coeficientes de acerto da equação descrita, estequiometricamente balanceada, contendo os menores valores numéricos e inteiros, é igual a:
Provas
Um técnico de laboratório colocou 6 mol de NO2(g), em um recipiente, de um litro a 25º C, atingindo o seguinte equilíbrio, após um intervalo de tempo:
2NO2(g) !$ \rightleftarrows !$ 2 NO(g) + O2(g)
No momento do equilíbrio, notou-se que 40 % do reagente sofreu oxirredução. Neste contexto, os valores de Kc e Kp, respectivamente, são:
Provas
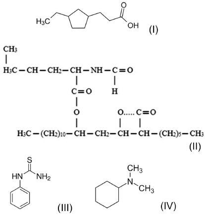
Inibidores são substâncias que, uma vez adicionadas ao meio corrosivo ajudam a diminuir a taxa de corrosão. Nas indústrias de petróleo, é muito comum o uso de substâncias orgânicas, como as aminas, pois são facilmente adsorvidas pelas estruturas metálicas formando um filme protetor, impedindo assim o contato com o meio corrosivo.

Entre as substâncias apresentadas acima, a única que poderia atuar como inibidora no sistema descrito é a:
Provas
Para a reação X + Y → Z foram realizados três experimentos conforme a tabela abaixo:
| Experimento | [X] mol/L | [Y] mol/L | Velocidade de reação mol/(L.min) |
| I | 0,2 | 0,3 | 4,0 x 10-2 |
| II | 0,4 | 0,6 | 16,0 x 10-2 |
| III | 0,2 | 0,6 | 8,0 x 10-2 |
Em relação à reação acima, pode-se afirmar que a velocidade de formação de Z quando as concentrações de X e Y forem ambas 0,4 M é:
Provas
Caderno Container