Foram encontradas 25 questões.
Provas
A aresta da base de uma pirâmide regular hexagonal mede 6 cm. Além disso, a área da base dessa pirâmide é 3/4 da sua área lateral. Com base nestas informações são feitas as afirmações a seguir:
I – o apótema da base e o apótema da pirâmide medem, respectivamente, 3√3cm e 4√3cm;
II – a área total da pirâmide mede 126√3cm2;
III – o volume da pirâmide mede 270cm3.
Dos itens a seguir, o que traz informação CORRETA é:
Provas
Sejam A e B duas matrizes quadradas de ordem 4. A respeito destas matrizes são feitas as seguintes afirmações:
I – se det(A) = 5 e det(B) = 3, então det (A + B) = 8, pois temos sempre det (A + B) = det(A) + det(B) para quaisquer que sejam as matrizes quadradas A e B;
II – se det(A) = 4, então det(4A) = 1024;
III – se det(A) = 3 e det(B) = 20, então det(AB) = 60;
É CORRETO afirmar que:
Provas
Provas
Provas
Provas
Provas
Sejam as afirmações a seguir:
I – Para b = -1 e c = -6, temos 
II – Seja ƒ: ℝ→ ℝ tal que
ƒ é contínua em x0 = 1;
III – A reta tangente à curva 4x3 - 2y2 +18 = 0 no ponto P(2,5) possui equação geral 12x - 5y + 1 = 0
Dentre as afirmações anteriores, temos:
Provas
Dado o número complexo
então a área do triângulo cujos vértices são as
raízes cúbicas de z é:
Provas
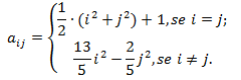
Seja A = (aij) uma matriz quadrada de ordem 2 tal que:

Sendo An , a n-ésima potência da matriz A , é CORRETO afirmar que:
Provas
Caderno Container