Foram encontradas 60 questões.
Leia o texto abaixo e responda a questão proposta.
A figura do ancião, desde o início dos relatos das primeiras civilizações, é muito controversa e discutida. No mundo ocidental, o senso comum das principais culturas muitas vezes discordava dos ensinamentos das filosofias clássicas sobre as contribuições da velhice para a sociedade. O estudo das reais condições trazidas pelo avanço da idade gerou diversas discussões éticas sobre as percepções biossociais dos processos de mudança do corpo. Médicos, biólogos, psicólogos e antropólogos ainda hoje não conseguem obter consenso sobre esse fenômeno em suas respectivas áreas.
Muitas culturas ocidentais descrevem o estereótipo do jovem como corajoso, destemido, forte e indolente. Já a figura do idoso é retratada como um peso morto, um chato em decadência corporal e mental. Percepção preconceituosa que foi levada ao extremo no século XX pelos portugueses durante a ditadura de Antônio Salazar, notório por usar a perseguição aos idosos como bandeira política. Atletas e artistas cotidianamente debatem o avanço da idade com medo e desgosto, enquanto especialistas da saúde questionam se há deterioração ou mudança adaptativa do corpo humano.
Nas culturas orientais, assim como na maioria das filosofias clássicas, a velhice é vista de um ângulo positivo, sendo fonte de sabedoria e meta para uma vida guiada pela prudência. O sábio ancião, que personifica a figura do homem calmo, austero, e que muitas vezes é capaz de prever certas situações e aconselhar, se destaca em relação ao jovem cheio de energia e de hormônios instáveis. Porém, apesar dos filósofos apreciarem o avanço da idade, nem todos eles tinham a mesma opinião sobre a velhice. O jovem Platão tinha como inspiração o velho filósofo Sócrates. Apesar de ser desfavorecido materialmente, Sócrates possuía muita experiência e uma sabedoria ímpar que marcou a história do pensamento. Em A República, Platão retrata uma discussão filosófica sobre a justiça ocorrida na casa do velho Céfalo, homem importante e respeitável em Atenas, que propiciava discussões filosóficas entre os mais velhos e os jovens que contemplavam os diálogos. Na sociedade ideal desse filósofo, os jovens muitas vezes eram retratados como inconsequentes e ingênuos, a exemplo de Polemarco, filho de Céfalo. Nesta sociedade ideal, crianças e adolescentes não recebiam diretamente o ensino da Filosofia. Por ser um conhecimento nobre e difícil, [ela] era ensinada somente para pessoas de idade mais avançada.
................................................................................................................................................................................................................................
Dentre os filósofos clássicos, o maior crítico sobre a construção filosófica da ideia de “velhice” era o estoico Sêneca. Para ele, Platão, Aristóteles e Epicuro construíram uma concepção mitológica da figura do velho. Os idosos que ele conheceu em Roma muitas vezes não eram tão felizes como descreviam os gregos. Muitos deles, observou Sêneca, pareciam tranquilos, mas no fundo não eram. A aparente tranquilidade decorria de seu cansaço e desânimo por não conseguir mais lutar por aquilo que queriam. Não buscaram a ataraxia enquanto jovens, ou seja, a tranquilidade da alma e a ausência de perturbações frente aos desafios impostos pela vida.
................................................................................................................................................................................................................................
Se envelhecer é uma “droga”, como afirma o ator Arnold Schwarzenegger, ou se [a velhice] é a “melhor idade”, como dizem muitos aposentados, esses discursos não contribuem para uma resposta definitiva para o estudo científico. Afinal, o conceito de velhice não é um fenômeno puramente biológico, mas também fruto de uma construção social e psicoemocional.
MEUCCI, Arthur. Rev. Filosofia: março de 2013, p. 72-3.
Dentre as alternativas de concordância verbal propostas, a gramática do português-padrão acolhe apenas a seguinte:
Provas
Questão presente nas seguintes provas
Leia o texto abaixo e responda a questão proposta.
A figura do ancião, desde o início dos relatos das primeiras civilizações, é muito controversa e discutida. No mundo ocidental, o senso comum das principais culturas muitas vezes discordava dos ensinamentos das filosofias clássicas sobre as contribuições da velhice para a sociedade. O estudo das reais condições trazidas pelo avanço da idade gerou diversas discussões éticas sobre as percepções biossociais dos processos de mudança do corpo. Médicos, biólogos, psicólogos e antropólogos ainda hoje não conseguem obter consenso sobre esse fenômeno em suas respectivas áreas.
Muitas culturas ocidentais descrevem o estereótipo do jovem como corajoso, destemido, forte e indolente. Já a figura do idoso é retratada como um peso morto, um chato em decadência corporal e mental. Percepção preconceituosa que foi levada ao extremo no século XX pelos portugueses durante a ditadura de Antônio Salazar, notório por usar a perseguição aos idosos como bandeira política. Atletas e artistas cotidianamente debatem o avanço da idade com medo e desgosto, enquanto especialistas da saúde questionam se há deterioração ou mudança adaptativa do corpo humano.
Nas culturas orientais, assim como na maioria das filosofias clássicas, a velhice é vista de um ângulo positivo, sendo fonte de sabedoria e meta para uma vida guiada pela prudência. O sábio ancião, que personifica a figura do homem calmo, austero, e que muitas vezes é capaz de prever certas situações e aconselhar, se destaca em relação ao jovem cheio de energia e de hormônios instáveis. Porém, apesar dos filósofos apreciarem o avanço da idade, nem todos eles tinham a mesma opinião sobre a velhice. O jovem Platão tinha como inspiração o velho filósofo Sócrates. Apesar de ser desfavorecido materialmente, Sócrates possuía muita experiência e uma sabedoria ímpar que marcou a história do pensamento. Em A República, Platão retrata uma discussão filosófica sobre a justiça ocorrida na casa do velho Céfalo, homem importante e respeitável em Atenas, que propiciava discussões filosóficas entre os mais velhos e os jovens que contemplavam os diálogos. Na sociedade ideal desse filósofo, os jovens muitas vezes eram retratados como inconsequentes e ingênuos, a exemplo de Polemarco, filho de Céfalo. Nesta sociedade ideal, crianças e adolescentes não recebiam diretamente o ensino da Filosofia. Por ser um conhecimento nobre e difícil, [ela] era ensinada somente para pessoas de idade mais avançada.
................................................................................................................................................................................................................................
Dentre os filósofos clássicos, o maior crítico sobre a construção filosófica da ideia de “velhice” era o estoico Sêneca. Para ele, Platão, Aristóteles e Epicuro construíram uma concepção mitológica da figura do velho. Os idosos que ele conheceu em Roma muitas vezes não eram tão felizes como descreviam os gregos. Muitos deles, observou Sêneca, pareciam tranquilos, mas no fundo não eram. A aparente tranquilidade decorria de seu cansaço e desânimo por não conseguir mais lutar por aquilo que queriam. Não buscaram a ataraxia enquanto jovens, ou seja, a tranquilidade da alma e a ausência de perturbações frente aos desafios impostos pela vida.
................................................................................................................................................................................................................................
Se envelhecer é uma “droga”, como afirma o ator Arnold Schwarzenegger, ou se [a velhice] é a “melhor idade”, como dizem muitos aposentados, esses discursos não contribuem para uma resposta definitiva para o estudo científico. Afinal, o conceito de velhice não é um fenômeno puramente biológico, mas também fruto de uma construção social e psicoemocional.
MEUCCI, Arthur. Rev. Filosofia: março de 2013, p. 72-3.
Ao se reescrever a oração adjetiva destacada em “Os idosos QUE ELE CONHECEU EM ROMA muitas vezes não eram tão felizes como descreviam os gregos [...]” (§ 4) cometeu-se um erro de regência nominal em:
Provas
Questão presente nas seguintes provas
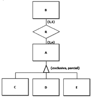
A figura a seguir exibe um modelo conceitual de dados que usa uma notação com base na abordagem E-R:

Sejam as seguintes afirmativas sobre o modelo acima:
I. Toda instância de E é uma instância de A.
II. Toda instância de A é uma instância de C.
III. Toda instância de D tem que estar associada a uma instância de B pela relação R.
IV. Toda instância de A tem que ser uma instância de C ou de D ou de E.
São verdadeiras, apenas:
Provas
Questão presente nas seguintes provas
Risco é a possibilidade de alguma coisa adversa acontecer. A principal função do gerenciamento de risco para proteção da informação é a identificação dos controles que:
Provas
Questão presente nas seguintes provas
- Fundamentos de Sistemas OperacionaisDiferenças entre Windows e Linux
- WindowsGerenciamento de Processos no WindowsGerenciador de Tarefas
No sistema operacional Windows, qual a ferramenta que possui uma função correspondente ao comando kill do Linux?
Provas
Questão presente nas seguintes provas
A vantagem de um sistema de arquivos que adota a técnica de alocação indexada sobre um sistema de arquivos que adota a técnica de alocação encadeada é que:
Provas
Questão presente nas seguintes provas
Leia o texto abaixo e responda a questão proposta.
A figura do ancião, desde o início dos relatos das primeiras civilizações, é muito controversa e discutida. No mundo ocidental, o senso comum das principais culturas muitas vezes discordava dos ensinamentos das filosofias clássicas sobre as contribuições da velhice para a sociedade. O estudo das reais condições trazidas pelo avanço da idade gerou diversas discussões éticas sobre as percepções biossociais dos processos de mudança do corpo. Médicos, biólogos, psicólogos e antropólogos ainda hoje não conseguem obter consenso sobre esse fenômeno em suas respectivas áreas.
Muitas culturas ocidentais descrevem o estereótipo do jovem como corajoso, destemido, forte e indolente. Já a figura do idoso é retratada como um peso morto, um chato em decadência corporal e mental. Percepção preconceituosa que foi levada ao extremo no século XX pelos portugueses durante a ditadura de Antônio Salazar, notório por usar a perseguição aos idosos como bandeira política. Atletas e artistas cotidianamente debatem o avanço da idade com medo e desgosto, enquanto especialistas da saúde questionam se há deterioração ou mudança adaptativa do corpo humano.
Nas culturas orientais, assim como na maioria das filosofias clássicas, a velhice é vista de um ângulo positivo, sendo fonte de sabedoria e meta para uma vida guiada pela prudência. O sábio ancião, que personifica a figura do homem calmo, austero, e que muitas vezes é capaz de prever certas situações e aconselhar, se destaca em relação ao jovem cheio de energia e de hormônios instáveis. Porém, apesar dos filósofos apreciarem o avanço da idade, nem todos eles tinham a mesma opinião sobre a velhice. O jovem Platão tinha como inspiração o velho filósofo Sócrates. Apesar de ser desfavorecido materialmente, Sócrates possuía muita experiência e uma sabedoria ímpar que marcou a história do pensamento. Em A República, Platão retrata uma discussão filosófica sobre a justiça ocorrida na casa do velho Céfalo, homem importante e respeitável em Atenas, que propiciava discussões filosóficas entre os mais velhos e os jovens que contemplavam os diálogos. Na sociedade ideal desse filósofo, os jovens muitas vezes eram retratados como inconsequentes e ingênuos, a exemplo de Polemarco, filho de Céfalo. Nesta sociedade ideal, crianças e adolescentes não recebiam diretamente o ensino da Filosofia. Por ser um conhecimento nobre e difícil, [ela] era ensinada somente para pessoas de idade mais avançada.
................................................................................................................................................................................................................................
Dentre os filósofos clássicos, o maior crítico sobre a construção filosófica da ideia de “velhice” era o estoico Sêneca. Para ele, Platão, Aristóteles e Epicuro construíram uma concepção mitológica da figura do velho. Os idosos que ele conheceu em Roma muitas vezes não eram tão felizes como descreviam os gregos. Muitos deles, observou Sêneca, pareciam tranquilos, mas no fundo não eram. A aparente tranquilidade decorria de seu cansaço e desânimo por não conseguir mais lutar por aquilo que queriam. Não buscaram a ataraxia enquanto jovens, ou seja, a tranquilidade da alma e a ausência de perturbações frente aos desafios impostos pela vida.
................................................................................................................................................................................................................................
Se envelhecer é uma “droga”, como afirma o ator Arnold Schwarzenegger, ou se [a velhice] é a “melhor idade”, como dizem muitos aposentados, esses discursos não contribuem para uma resposta definitiva para o estudo científico. Afinal, o conceito de velhice não é um fenômeno puramente biológico, mas também fruto de uma construção social e psicoemocional.
MEUCCI, Arthur. Rev. Filosofia: março de 2013, p. 72-3.
Há erro evidente, segundo as normas de pontuação em vigor, na substituição do ponto usado no texto pelo sinal proposto entre colchetes na seguinte alternativa:
Provas
Questão presente nas seguintes provas
Observe o resultado parcial de uma pesquisa feita com a ferramenta Google.

Os destaque sem negrito representam:
Provas
Questão presente nas seguintes provas
No decorrer do processo de desenvolvimento de requisitos, muitas vezes é preciso descrever restrições sobre o comportamento permitido de um sistema, ou, mais precisamente, dizer o que não será permitido que o sistema faça.
Requisitos desse tipo são chamados:
Provas
Questão presente nas seguintes provas
Leia o texto abaixo e responda a questão proposta.
A figura do ancião, desde o início dos relatos das primeiras civilizações, é muito controversa e discutida. No mundo ocidental, o senso comum das principais culturas muitas vezes discordava dos ensinamentos das filosofias clássicas sobre as contribuições da velhice para a sociedade. O estudo das reais condições trazidas pelo avanço da idade gerou diversas discussões éticas sobre as percepções biossociais dos processos de mudança do corpo. Médicos, biólogos, psicólogos e antropólogos ainda hoje não conseguem obter consenso sobre esse fenômeno em suas respectivas áreas.
Muitas culturas ocidentais descrevem o estereótipo do jovem como corajoso, destemido, forte e indolente. Já a figura do idoso é retratada como um peso morto, um chato em decadência corporal e mental. Percepção preconceituosa que foi levada ao extremo no século XX pelos portugueses durante a ditadura de Antônio Salazar, notório por usar a perseguição aos idosos como bandeira política. Atletas e artistas cotidianamente debatem o avanço da idade com medo e desgosto, enquanto especialistas da saúde questionam se há deterioração ou mudança adaptativa do corpo humano.
Nas culturas orientais, assim como na maioria das filosofias clássicas, a velhice é vista de um ângulo positivo, sendo fonte de sabedoria e meta para uma vida guiada pela prudência. O sábio ancião, que personifica a figura do homem calmo, austero, e que muitas vezes é capaz de prever certas situações e aconselhar, se destaca em relação ao jovem cheio de energia e de hormônios instáveis. Porém, apesar dos filósofos apreciarem o avanço da idade, nem todos eles tinham a mesma opinião sobre a velhice. O jovem Platão tinha como inspiração o velho filósofo Sócrates. Apesar de ser desfavorecido materialmente, Sócrates possuía muita experiência e uma sabedoria ímpar que marcou a história do pensamento. Em A República, Platão retrata uma discussão filosófica sobre a justiça ocorrida na casa do velho Céfalo, homem importante e respeitável em Atenas, que propiciava discussões filosóficas entre os mais velhos e os jovens que contemplavam os diálogos. Na sociedade ideal desse filósofo, os jovens muitas vezes eram retratados como inconsequentes e ingênuos, a exemplo de Polemarco, filho de Céfalo. Nesta sociedade ideal, crianças e adolescentes não recebiam diretamente o ensino da Filosofia. Por ser um conhecimento nobre e difícil, [ela] era ensinada somente para pessoas de idade mais avançada.
................................................................................................................................................................................................................................
Dentre os filósofos clássicos, o maior crítico sobre a construção filosófica da ideia de “velhice” era o estoico Sêneca. Para ele, Platão, Aristóteles e Epicuro construíram uma concepção mitológica da figura do velho. Os idosos que ele conheceu em Roma muitas vezes não eram tão felizes como descreviam os gregos. Muitos deles, observou Sêneca, pareciam tranquilos, mas no fundo não eram. A aparente tranquilidade decorria de seu cansaço e desânimo por não conseguir mais lutar por aquilo que queriam. Não buscaram a ataraxia enquanto jovens, ou seja, a tranquilidade da alma e a ausência de perturbações frente aos desafios impostos pela vida.
................................................................................................................................................................................................................................
Se envelhecer é uma “droga”, como afirma o ator Arnold Schwarzenegger, ou se [a velhice] é a “melhor idade”, como dizem muitos aposentados, esses discursos não contribuem para uma resposta definitiva para o estudo científico. Afinal, o conceito de velhice não é um fenômeno puramente biológico, mas também fruto de uma construção social e psicoemocional.
MEUCCI, Arthur. Rev. Filosofia: março de 2013, p. 72-3.
Há evidente equívoco na indicação do sentido em que está empregada no texto a preposição SOBRE em:
Provas
Questão presente nas seguintes provas
Cadernos
Caderno Container