Magna Concursos

Foram encontradas 30 questões.

118356 Ano: 2015
Disciplina: Matemática
Banca: IF-RS
Orgão: IF-RS
Provas:

Classifique cada uma das afirmações abaixo em verdadeiro (V) ou falso (F) e marque a alternativa que preenche CORRETAMENTE as lacunas, na ordem de cima para baixo:


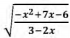
( ) O domínio da função f( x ) = enunciado 118356-1 é dadopor D = [1,3/2 [ ∪ [6 ,+ ∞ [.

( ) A função g (x ) = enunciado 118356-2 tem seu domínio expresso pelo conjunto D = [0 ,2[ ∪ [7, + ∞[.

( ) A função h( x ) = enunciado 118356-3 tem domínio dado por D = [ -3/2, + ∞[.

( ) A função I( x ) = log (-x + 2 )(x 2 - 2x - 24) tem seu domínio igual a: D =] - 4, + ∞[.

 

Provas

Questão presente nas seguintes provas
118351 Ano: 2015
Disciplina: Matemática
Banca: IF-RS
Orgão: IF-RS
Provas:
Uma malharia, a fim de incentivar as compras coletivas, fez a seguinte promoção: pedidos de 100 camisetas ao preço de R$ 30,00 cada. Entretanto, para pedidos inferiores a 100 unidades a malharia acrescentaria um valor de R$ 0,50 ao preço unitário, por cada camiseta não vendida (por exemplo: 99 camisetas ao preço de R$ 30,50 cada, 98 camisetas ao preço de R$ 31,00 cada e assim sucessivamente). Considerando pedidos de no máximo 100 camisetas, o preço unitário da camiseta para gerar o faturamento máximo da malharia é:
 

Provas

Questão presente nas seguintes provas
118350 Ano: 2015
Disciplina: Matemática
Banca: IF-RS
Orgão: IF-RS
Provas:
A área do quadrilátero formado pelas raízes quartas do número complexo Z = - 2 + 2√3i é em unidades de área igual a:
 

Provas

Questão presente nas seguintes provas
118349 Ano: 2015
Disciplina: Matemática
Banca: IF-RS
Orgão: IF-RS
Provas:
O anfiteatro do IFRS possui 630 lugares. A primeira fila possui 10 acentos, a segunda 12 , a terceira 14 e assim sucessivamente. A soma do número de lugares na última fila com o número total de filas do anfiteatro é:
 

Provas

Questão presente nas seguintes provas
118348 Ano: 2015
Disciplina: Matemática
Banca: IF-RS
Orgão: IF-RS
Provas:
Sejam as funções reais definidas por: f( x ) = |x2 - 6x| - 3 e g(x)= -x+3. O número de soluções reais para equação f(x)=g(x) é:
 

Provas

Questão presente nas seguintes provas
118347 Ano: 2015
Disciplina: Matemática
Banca: IF-RS
Orgão: IF-RS
Provas:
Alice, Bruno e Cláudio foram à padaria lanchar. Alice pediu um copo de suco, três pães de queijo e duas balas, pagando R$ 10,10 por sua compra. Bruno pediu um copo de suco, um pão de queijo e quatro balas, pagando R$ 7,70 por sua compra. Considere que os preços unitários de cada tipo de produto são idênticos. O valor pago por Cláudio com seu pedido de um copo de suco, dois pães de queijo e três balas foi:
 

Provas

Questão presente nas seguintes provas
118346 Ano: 2015
Disciplina: Matemática
Banca: IF-RS
Orgão: IF-RS
Provas:
A soma de todos os divisores de 19683 é:
 

Provas

Questão presente nas seguintes provas
118345 Ano: 2015
Disciplina: Matemática
Banca: IF-RS
Orgão: IF-RS
Provas:
Podemos considerar o formato de certas laranjas com o esferas. Dessa forma, considere laranjas com 10 cm de diâmetro e que 40% do seu volume se perca devido a sua casca e ao seu bagaço. O número de laranjas necessário para encher uma garrafa com 1,2 litros de suco é mais próximo de:
 

Provas

Questão presente nas seguintes provas
118344 Ano: 2015
Disciplina: Matemática
Banca: IF-RS
Orgão: IF-RS
Provas:
O ponto Q na curva y = x2, cuja distância ao ponto P (-3,0) é a menor possível, tem coordenadas:
 

Provas

Questão presente nas seguintes provas
118343 Ano: 2015
Disciplina: Matemática
Banca: IF-RS
Orgão: IF-RS
Provas:
Dados dois vetores no espaço u e v. Deseja-se encontrar um terceiro vetor w, ortogonal a ambos. Isso pode ser resolvido através de um sistem a de equações de infinitas soluções, mas se quiser encontrar uma solução direta, você usaria:
 

Provas

Questão presente nas seguintes provas