Foram encontradas 40 questões.
Um estudo avaliou as quantidades de duas substâncias X e Y presentes na corrente sanguínea de determinado indivíduo.
As quantidades dessas substâncias X e Y , em miligramas, são dadas respectivamente pelas funções:
QX( t ) = 20 + 4 sen ( π . t ) e QY( t ) = 16 + 4 cos ( π . t )
30 30
onde, t é o tempo em minutos, t ∈[0,60] .
Em relação às quantidades QX e QY , analise as afirmações a seguir marcando V para as afirmações verdadeiras e F para as afirmações falsas.
( ) QX(0) = QY (0)
( ) QX( t ) < Qy( t ) ∀ t ∈ (0,60]
( ) QY ( t ) < QX ( t ) ∀ t ∈(0, 60]
( ) Em certo instante do intervalo [0 ,60] a quantidade de substância X se anula.
( ) QY é crescente no intervalo [0 ,30]
Assinale a alternativa que contém a sequência CORRETA de cima para baixo.
As quantidades dessas substâncias X e Y , em miligramas, são dadas respectivamente pelas funções:
QX( t ) = 20 + 4 sen ( π . t ) e QY( t ) = 16 + 4 cos ( π . t )
30 30
onde, t é o tempo em minutos, t ∈[0,60] .
Em relação às quantidades QX e QY , analise as afirmações a seguir marcando V para as afirmações verdadeiras e F para as afirmações falsas.
( ) QX(0) = QY (0)
( ) QX( t ) < Qy( t ) ∀ t ∈ (0,60]
( ) QY ( t ) < QX ( t ) ∀ t ∈(0, 60]
( ) Em certo instante do intervalo [0 ,60] a quantidade de substância X se anula.
( ) QY é crescente no intervalo [0 ,30]
Assinale a alternativa que contém a sequência CORRETA de cima para baixo.
Provas
Questão presente nas seguintes provas
Deseja-se trabalhar com a curva r = 1 + 2 cos θ, dada em coordenadas polares.
Sobre a situação exposta, assinale a alternativa CORRETA.
Sobre a situação exposta, assinale a alternativa CORRETA.
Provas
Questão presente nas seguintes provas
No projeto integrador, um grupo fez modelos de embalagens para os produtos desenvolvidos pelas fases superiores no curso de vestuário. As caixas são de formato esférico para armazenamento de camisolas, que são dobradas em formato cilíndrico com altura de 6 cm e raio de 2 cm. A caixa foi elaborada para que um cilindro fique inscrito em cada esfera.
Analise as afirmações I, II e III.
I. Considerando que o volume da roupa coincide com o volume total de um cilindro com essas medidas, o volume da embalagem não aproveitado é de 4 π ( 13√13 / 3 -6) cm3 .
II. O raio da esfera é de 2√13 cm .
III. Se o cilindro tem sua lateral envolvida por papel seda, são necessários, no mínimo, 24πcm2 por cilindro.
Sobre a veracidade das afirmações, assinale a alternativa CORRETA.
Analise as afirmações I, II e III.
I. Considerando que o volume da roupa coincide com o volume total de um cilindro com essas medidas, o volume da embalagem não aproveitado é de 4 π ( 13√13 / 3 -6) cm3 .
II. O raio da esfera é de 2√13 cm .
III. Se o cilindro tem sua lateral envolvida por papel seda, são necessários, no mínimo, 24πcm2 por cilindro.
Sobre a veracidade das afirmações, assinale a alternativa CORRETA.
Provas
Questão presente nas seguintes provas
Números complexos são aplicados nos conceitos de fasores e impedância, entre outros, na área de circuitos elétricos. Nesse tipo de aplicação, a unidade imaginária é representada por j .
Sobre as operações básicas com os números complexos z1 = √3+1 j e z2 = 4 - 4j , assinale a afirmação CORRETA.
Sobre as operações básicas com os números complexos z1 = √3+1 j e z2 = 4 - 4j , assinale a afirmação CORRETA.
Provas
Questão presente nas seguintes provas
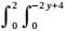
Maria e José estão discutindo a lista de exercícios de integrais duplas e triplas quando se deparam com o problema de calcular o volume do sólido S obtido a partir da intersecção das superfícies 2x+4 y+z = 8 , z = 0 , y = 0 e x = 0 .
José afirma que é possível resolver o problema através do cálculo da integral dupla definida
( 8-2 x-4 y) dydx .
Maria afirma que é possível resolver o problema através do cálculo da integral dupla definida
(8 - 2x-4 y ) dxdy .
Em relação às soluções propostas por Maria e José, analise as afirmações a seguir e assinale a alternativa CORRETA.
José afirma que é possível resolver o problema através do cálculo da integral dupla definida
( 8-2 x-4 y) dydx .Maria afirma que é possível resolver o problema através do cálculo da integral dupla definida
(8 - 2x-4 y ) dxdy .Em relação às soluções propostas por Maria e José, analise as afirmações a seguir e assinale a alternativa CORRETA.
Provas
Questão presente nas seguintes provas
Considere o sistema de coordenadas polares no qual um ponto (x, y) do sistema cartesiano ortogonal pode ser representado por (r ,θ ) , onde r é a coordenada radial e θ a coordenada angular, conforme mostram as figuras abaixo:

Com base nas relações entre coordenadas polares e coordenadas cartesianas, associe cada equação cartesiana da coluna da esquerda com sua equação polar correspondente da coluna da direita.
( 1 ) x2 + y2 - 2 y = 0 ( ) r = 4 /sen( θ) - cos( θ)
( 2 ) y = x ( ) r = 4 sen (θ) .
( 3 ) x2 + y2 = 4 ( ) θ = π/ 4
( 4 ) y = 4 ( ) r = 4 cossec ( θ)
( 5 ) y = 4 + x ( ) r = 2
A ordem CORRETA de associação, de cima para baixo, é:

Com base nas relações entre coordenadas polares e coordenadas cartesianas, associe cada equação cartesiana da coluna da esquerda com sua equação polar correspondente da coluna da direita.
( 1 ) x2 + y2 - 2 y = 0 ( ) r = 4 /sen( θ) - cos( θ)
( 2 ) y = x ( ) r = 4 sen (θ) .
( 3 ) x2 + y2 = 4 ( ) θ = π/ 4
( 4 ) y = 4 ( ) r = 4 cossec ( θ)
( 5 ) y = 4 + x ( ) r = 2
A ordem CORRETA de associação, de cima para baixo, é:
Provas
Questão presente nas seguintes provas
José deseja construir um canteiro de flores, num terreno plano, cujo formato está representando pela área sombreada abaixo:

Após alguns estudos, José concluiu que a área do canteiro está compreendida entre os gráficos das funções reais g( x ) = 0 e f (x) = 1 / (x 2 +1) 2 , com 0 ≤ x ≤ 1, x e y medidos em metros.
É CORRETO afirmar que a área do canteiro, em metros quadrados, é igual a:

Após alguns estudos, José concluiu que a área do canteiro está compreendida entre os gráficos das funções reais g( x ) = 0 e f (x) = 1 / (x 2 +1) 2 , com 0 ≤ x ≤ 1, x e y medidos em metros.
É CORRETO afirmar que a área do canteiro, em metros quadrados, é igual a:
Provas
Questão presente nas seguintes provas
Seja f: ( 0, + ∞) →
dada por f (x ) = -3 + xln ( x) , assinale a alternativa CORRETA:
x
dada por f (x ) = -3 + xln ( x) , assinale a alternativa CORRETA:x
Provas
Questão presente nas seguintes provas
Considere os limites abaixo:

Em relação aos valores representados por M, L, J e K, marque V para as afirmações verdadeiras e F para as afirmações falsas.
( ) M = K e K > J
( ) M = L = J
( ) J = L e J < M
( ) L < K
( ) M = J e K < M
Assinale a alternativa que contém a sequência CORRETA de cima para baixo.

Em relação aos valores representados por M, L, J e K, marque V para as afirmações verdadeiras e F para as afirmações falsas.
( ) M = K e K > J
( ) M = L = J
( ) J = L e J < M
( ) L < K
( ) M = J e K < M
Assinale a alternativa que contém a sequência CORRETA de cima para baixo.
Provas
Questão presente nas seguintes provas
Ao modelar uma peça por meio de desenho auxiliado por computador, um estudante precisou especificar o plano que passa pelo ponto A(1,2,0) e tem como vetores diretores
= (3,1,1) e
= (4,0,2) e um vetor normal ao plano.
Analise as afirmações a seguir marcando V para as afirmações verdadeiras e F para as afirmações falsas.
( ) x – y – 2z+1 = 0 representa uma equação geral do plano.
( )
= (-2,2,4) não representa um vetor normal ao plano especificado.
( ) O plano que passa pelo ponto B(1,1,0) e tem como vetores diretores
= (3,1,1) e
= (4,0,2) é um plano coincidente ao plano trabalhado pelo estudante.
( ) O vetor diretor da reta r: (x , y , z ) = (2,2,1) + a (3, 2,4) , sendo a ∈
, é vetor normal ao plano trabalhado pelo estudante.
( ) O vetor normal é um vetor paralelo aos vetores diretores do plano.
Assinale a alternativa que contém a sequência CORRETA de cima para baixo.
= (3,1,1) e
= (4,0,2) e um vetor normal ao plano. Analise as afirmações a seguir marcando V para as afirmações verdadeiras e F para as afirmações falsas.
( ) x – y – 2z+1 = 0 representa uma equação geral do plano.
( )
= (-2,2,4) não representa um vetor normal ao plano especificado.( ) O plano que passa pelo ponto B(1,1,0) e tem como vetores diretores
= (3,1,1) e
= (4,0,2) é um plano coincidente ao plano trabalhado pelo estudante. ( ) O vetor diretor da reta r: (x , y , z ) = (2,2,1) + a (3, 2,4) , sendo a ∈
, é vetor normal ao plano trabalhado pelo estudante. ( ) O vetor normal é um vetor paralelo aos vetores diretores do plano.
Assinale a alternativa que contém a sequência CORRETA de cima para baixo.
Provas
Questão presente nas seguintes provas
Cadernos
Caderno Container