Foram encontradas 50 questões.
Considere as seguintes formas de onda:
i = – 5 cos(ωt – 50°) v = 10 sen(ωt – 140°)
A relação de fase entre as formas de onda senoidais i e v é:
i = – 5 cos(ωt – 50°) v = 10 sen(ωt – 140°)
A relação de fase entre as formas de onda senoidais i e v é:
Provas
Questão presente nas seguintes provas
A permissividade é a razão entre no dielétrico. Trata-se de
uma medida da facilidade com que o dielétrico “permite” o estabelecimento de no
seu interior.
Assinale a alternativa que preenche, correta e respectivamente, as lacunas do trecho acima.
Assinale a alternativa que preenche, correta e respectivamente, as lacunas do trecho acima.
Provas
Questão presente nas seguintes provas
Relacione a Coluna 1 à Coluna 2, associando os teoremas da análise de circuitos às
suas respectivas afirmações.
Coluna 1 1. Teorema da Superposição. 2. Teorema de Thévenin. 3. Teorema de Norton. 4. Teorema da Substituição. 5. Teorema da Reciprocidade.
Coluna 2 ( ) Qualquer circuito de corrente contínua linear bilateral de dois terminais pode ser substituído por um circuito equivalente constituído por uma fonte de tensão e um resistor em série.
( ) A corrente I em qualquer ramo de um circuito, com uma única fonte de tensão E localizada em outro ramo qualquer do mesmo circuito, é igual à corrente no ramo em que se encontrava a fonte se ela for transferida para o ramo no qual a corrente I foi originalmente medida.
( ) Se a corrente que atravessa um ramo qualquer de um circuito bilateral de corrente contínua e a tensão entre os terminais do mesmo ramo são conhecidas, esse ramo pode ser substituído por qualquer combinação de componentes que mantenha inalteradas a tensão e a corrente associadas ao ramo escolhido.
( ) A corrente através de um elemento, ou a tensão entre seus terminais, em um circuito linear bilateral, é igual à soma algébrica das correntes ou das tensões produzidas independentemente por cada uma das fontes.
( ) Qualquer circuito de corrente contínua linear bilateral de dois terminais pode ser substituído por um circuito equivalente formado por uma fonte de corrente e um resistor em paralelo.
A ordem correta de preenchimento dos parênteses, de cima para baixo, é:
Coluna 1 1. Teorema da Superposição. 2. Teorema de Thévenin. 3. Teorema de Norton. 4. Teorema da Substituição. 5. Teorema da Reciprocidade.
Coluna 2 ( ) Qualquer circuito de corrente contínua linear bilateral de dois terminais pode ser substituído por um circuito equivalente constituído por uma fonte de tensão e um resistor em série.
( ) A corrente I em qualquer ramo de um circuito, com uma única fonte de tensão E localizada em outro ramo qualquer do mesmo circuito, é igual à corrente no ramo em que se encontrava a fonte se ela for transferida para o ramo no qual a corrente I foi originalmente medida.
( ) Se a corrente que atravessa um ramo qualquer de um circuito bilateral de corrente contínua e a tensão entre os terminais do mesmo ramo são conhecidas, esse ramo pode ser substituído por qualquer combinação de componentes que mantenha inalteradas a tensão e a corrente associadas ao ramo escolhido.
( ) A corrente através de um elemento, ou a tensão entre seus terminais, em um circuito linear bilateral, é igual à soma algébrica das correntes ou das tensões produzidas independentemente por cada uma das fontes.
( ) Qualquer circuito de corrente contínua linear bilateral de dois terminais pode ser substituído por um circuito equivalente formado por uma fonte de corrente e um resistor em paralelo.
A ordem correta de preenchimento dos parênteses, de cima para baixo, é:
Provas
Questão presente nas seguintes provas
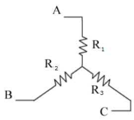
Um circuito ∆ é apresentado na Figura 1 a seguir:
Dados: RA = 40 Ω, RB = 15 Ω, RC = 20 Ω Figura 1
O circuito equivalente em Y é apresentado na Figura 2 a seguir:
Figura 2
Assinale a alternativa que apresenta os valores para R1, R2 e R3 no circuito equivalente em Y.
Dados: RA = 40 Ω, RB = 15 Ω, RC = 20 Ω Figura 1 O circuito equivalente em Y é apresentado na Figura 2 a seguir:

Figura 2
Assinale a alternativa que apresenta os valores para R1, R2 e R3 no circuito equivalente em Y.
Provas
Questão presente nas seguintes provas
Sobre Circuitos em Paralelo, analise as assertivas abaixo e assinale a alternativa
correta.
I. A resistência total referente a dois resistores em paralelo é a soma das duas resistências dividida pelo seu produto.
II. Elementos em paralelo podem ser intercambiados sem alterar a resistência total ou a corrente total.
III. No caso de resistores em paralelo, o valor da resistência total sempre diminui quando acrescentamos no circuito um outro resistor em paralelo.
IV. Para circuitos em paralelo com apenas uma fonte, a corrente fornecida pela fonte principal é equivalente à corrente do primeiro ramo do circuito.
I. A resistência total referente a dois resistores em paralelo é a soma das duas resistências dividida pelo seu produto.
II. Elementos em paralelo podem ser intercambiados sem alterar a resistência total ou a corrente total.
III. No caso de resistores em paralelo, o valor da resistência total sempre diminui quando acrescentamos no circuito um outro resistor em paralelo.
IV. Para circuitos em paralelo com apenas uma fonte, a corrente fornecida pela fonte principal é equivalente à corrente do primeiro ramo do circuito.
Provas
Questão presente nas seguintes provas
Diariamente, um aparelho de televisão de 205 W fica ligado por 15 horas. Qual o
consumo mensal desse aparelho?
Provas
Questão presente nas seguintes provas
Um resistor fixo de carbono apresenta o seguinte valor: 39 Ω ± 5%. Analisando o
seu código de cores, assinale a alternativa que apresenta a sequência de cores que representa esse
valor.
Provas
Questão presente nas seguintes provas
A temperatura de -234,5°C é chamada temperatura absoluta inferida do cobre. Se a
resistência de um fio de cobre à temperatura de congelamento da água (0°C) é 35 Ω, qual a sua
resistência a -25°C?
Provas
Questão presente nas seguintes provas
Um instrumento de medição pode ser um sistema mecânico, eletromecânico ou
eletrônico que integra um ou mais sensores e/ou um ou mais transdutores a dispositivos com funções
específicas de processamento de determinada variável. Nesse sentido, relacione a Coluna 1 à
Coluna 2, associando os instrumentos de medição às suas respectivas funções.
Coluna 1 1. Voltímetro. 2. Wattímetro. 3. Amperímetro. 4. Ohmímetro.
5. Osciloscópio.
Coluna 2 ( ) Medir corrente elétrica.
( ) Além de medir grandezas elétricas, ainda mostra a forma do sinal da grandeza.
( ) Medir tensão elétrica.
( ) Medir potência elétrica.
( ) Medir a resistência de um determinado elemento.
A ordem correta de preenchimento dos parênteses, de cima para baixo, é:
Coluna 1 1. Voltímetro. 2. Wattímetro. 3. Amperímetro. 4. Ohmímetro.
5. Osciloscópio.
Coluna 2 ( ) Medir corrente elétrica.
( ) Além de medir grandezas elétricas, ainda mostra a forma do sinal da grandeza.
( ) Medir tensão elétrica.
( ) Medir potência elétrica.
( ) Medir a resistência de um determinado elemento.
A ordem correta de preenchimento dos parênteses, de cima para baixo, é:
Provas
Questão presente nas seguintes provas
O Sistema Internacional de Unidades tem 7 (sete) unidades básicas. Essas unidades
consistem em bases que têm como função tornar universais os resultados de medidas realizadas em
qualquer parte do mundo. Considerando as unidades apresentadas, qual delas é uma unidade de
base?
Provas
Questão presente nas seguintes provas
Cadernos
Caderno Container