Foram encontradas 80 questões.
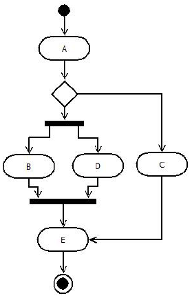
Analise o diagrama de atividades a seguir e assinale a alternativa correta.

Provas
Qual modelo de processo sugere uma abordagem sequencial e sistemática para o desenvolvimento de software?
Provas
Considerando o uso da UML, qual o tipo de relacionamento está sendo apresentado entre as classes a seguir?

Provas
Analise o trecho de código em linguagem C:
int **matriz;
int i;
matriz = malloc (10 * sizeof (int *)) ;
for (i = 0; i < 10; ++i) {
matriz[i] = malloc (10 * sizeof (int)) ;
}
Assinale a alternativa correta.
Provas
NÃO é considerado um modelo de processo ágil:
Provas
Considere o trecho de código em Java abaixo.
01. public class minhaClasse {
02.
03. public static void teste (Long 1) {
04. System.out.print ("IFSP A ") ;
05. }
06.
07. public static void teste (Short s) {
08. System.out.print ("IFSP B ") ;
09. }
10.
11. public static void teste (Stirng str) {
12. System.out.print ("IFSP C ") ;
13. }
14.
15. public static void teste (Double d) {
16. System.out.print (" IFSP D ") ;
17. }
18.
19. public static void teste (int i) {
20. System.out.print (" IFSP E ") ;
21. }
22.
23. public static void main (String args[ ]) {
24.
25. teste (5) ;
26. teste ("5") ;
27. teste (10.5) ;
28. teste ("5" + 5) ;
29.
30. }
31. }
Após a compilação/execução do código será obtido no console:
Provas
Com relação a UML (Unified Modeling Language) é INCORRETO afirmar que:
Provas
A técnica de observação utilizada para compreender os requisitos sociais e organizacionais de um sistema de software, na qual o analista se insere no ambiente de trabalho – onde o sistema será usado – com intuito de observar o dia-a-dia e anotar as tarefas reais nas quais os participantes estão envolvidos, denomina-se:
Provas
O RUP (Rational Unified Process) tem como característica:
Provas
Entre as práticas utilizadas no método ágil Extreme Programming (XP) é INCORRETO afirmar que:
Provas
Caderno Container