Foram encontradas 50 questões.
Provas
Sejam os vetores, v1 = [1 0 −1], v2 = [2 1 3], v3 = [4 2 6] e w = [3 1 2].
Classifique as afirmações como verdadeiras ou falsas.
I) w pertence ao subespaço gerado por {v1, v2, v3}.
II) Os vetores v1, v2 e v3 são linearmente dependentes.
III) A dimensão do subespaço gerado por {v1, v2, v3} é 3.
As seguintes afirmações são VERDADEIRAS:
Provas
Dada f(x): [0,1] → R+ contínua e diferenciável e f(0) = 1 e f(1) = 4, o valor da integral 
Provas
Uma forma, muito utilizada para caracterizar variáveis aleatórias, é a média e o desvio padrão. Com essas medidas um gerente pode usar tais informações para confecção de um relatório sobre a produção de seus funcionários. Considere a tabela abaixo com o registro da produção de cada funcionário ao longo da semana.

Nesse relatório consta que o funcionário que tem:
I) a maior média é o B.
II) a menor média é o A.
III) a maior variação é o B.
VI) a menor variação é o C.
As seguintes afirmações são VERDADEIRAS:
Provas
Provas
Nas regiões A, B e C foram feitos exames laboratorais em 1000 (mil) pessoas e constatou-se que 500 (quinhentas) delas tinham sido contaminadas pelos virus da Dengue, Zika ou Chikungunya de acordo com a tabela a seguir:

Qual a probabilidade de um indivíduo ter sido contaminado pelo vírus da Zika, dado que ele mora na região B e foi contaminado por um dos três vírus?
Provas
Provas
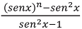
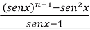
A série finita
, x ≠ mπ + π/2 e m ∈
é igual a:
Provas
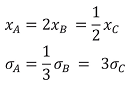
Três indústrias A, B e C produzem um produto X. Para testar a durabilidade de X, foram coletadas amostras de tamanhos iguais de cada uma dessas indústrias. A tabela a seguir representa a média e desvio padrão da variável durabilidade do produto X em cada indústria:

Sabendo que a média e o desvio padrão das amostras A, B e C obedecem às relações a seguir:

e utilizando-se o coeficiente de variação de Pearson, pode-se afirmar que:
Provas
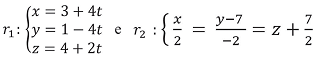
As rotas de dois aviões A e B são lineares e dadas, respectivamente, pelas retas r1 e r2, descritas a seguir:

Sobre isso, assinale a questão CORRETA.
Provas
Caderno Container