Foram encontradas 50 questões.
- Protocolos e ServiçosConfiguração de RedeDHCP: Dynamic Host Configuration Protocol
- TCP/IPSub-redes, Máscara e Endereçamento IP
Determinada organização abre uma filial e o gerente da rede de dados precisa apresentar uma
solução que contemple a administração dos endereços IP dessa nova rede, usando o protocolo
DHCP (Protocolo Dinâmico de Configuração de Hospedeiros), considerando as seguintes
premissas:
I) a sede da empresa possui um servidor DHCP;
II) a equipe de administração dos servidores é reduzida;
III) o gerente foi avisado de que não seria possível contratar mais profissionais;
IV) as máquinas de ambas as redes físicas devem pertencer à mesma rede lógica.
Sua proposta é configurar manualmente cada um dos hospedeiros com endereços estáticos. Assinale a opção que traz a melhor análise para a decisão do gerente, considerando métricas de escalabilidade e simplicidade na administração da rede.
Sua proposta é configurar manualmente cada um dos hospedeiros com endereços estáticos. Assinale a opção que traz a melhor análise para a decisão do gerente, considerando métricas de escalabilidade e simplicidade na administração da rede.
Provas
Questão presente nas seguintes provas
- Protocolos e ServiçosConfiguração de RedeDNS: Domain Name System
- Protocolos e ServiçosInternet e EmailHTTP: Hyper Text Transfer Protocol
- Protocolos e ServiçosInternet e EmailSMTP: Simple Mail Transfer Protocol
- Protocolos e ServiçosTransferência de ArquivosFTP: File Transfer Protocol
O professor pediu para que os alunos desenvolvessem aplicações usando as portas TCP
reservadas pela IANA (Internet Assigned Numbers Authority) e os alunos apresentaram as
relações abaixo.
Assinale a alternativa que contém APENAS associações padronizadas entre a porta e o serviço.
Provas
Questão presente nas seguintes provas
- Equipamentos de RedeAccess Point
- Segurança de RedesAutenticação de Rede
- Segurança de RedesSegurança de Redes Sem Fio
- Transmissão de DadosPadrões IEEE 802IEEE 802.11: Wireless LAN
O padrão 802.11 define que cada LAN sem fio compatível deve fornecer serviços para seus
clientes, pontos de acesso e a rede que os conecta. Abaixo são feitas algumas afirmativas sobre
esses serviços:
I) Um serviço de associação é usado pelas estações móveis para conecta-las aos Pontos de Acesso.
II) Um serviço de autenticação é necessário antes que as estações possam enviar quadros para
o Ponto de Acesso. No caso da rede estar ‘aberta’, qualquer um tem permissão para usá-la. III) O esquema de segurança recomendado atualmente chama-se WPA2 que permite que uma
chave de acesso (senha) previamente configurada seja usada.
IV) O WEP é um esquema de segurança alternativo ao WPA2. Contudo, por ser fácil de ser
quebrado, seu uso deve ser evitado.
Assinale a alternativa que contém todas as afirmativas CORRETAS:
Provas
Questão presente nas seguintes provas
- Transmissão de DadosMeios de TransmissãoCabeamento FìsicoMeio de Transmissão: Fibra Óptica
- Transmissão de DadosMeios de TransmissãoCabeamento FìsicoMeio de Transmissão: Par Trançado
- Transmissão de DadosSimplex, Half-Duplex e Full-Duplex
Em uma aula sobre mídias de transmissão em redes de computadores, o professor solicitou
a um aluno que fizesse três afirmativas que comparassem os cabos de fibra óptica com os cabos
de par trançado. O aluno fez as seguintes afirmações:
I) Cabos de fibra óptica são completamente imunes a interferência eletromagnética, enquanto
cabos de par trançado são susceptíveis a esse tipo de ruído;
II) A propagação do sinal luminoso numa fibra óptica é unidirecional. São necessárias duas fibras
em comunicação full-duplex. Já os cabos de par trançado permitem uma transmissão full-duplex
com apenas um par de fios;
III) Cabos de fibra óptica geralmente são mais pesados e menos resistentes a corrosão, em
relação aos tradicionais cabos de par trançado.
Assinale a alternativa que contém todas as afirmativas CORRETAS:
Provas
Questão presente nas seguintes provas
Ao digitar a URL http://www.ifb.edu.br o usuário foi redirecionado automaticamente ao
endereço http://www.ifb.edu.br:8000 e ficou muito intrigado, com receio de ter sido direcionado
a um site falso. Sobre o episódio, assinale a hipótese CORRETA:
Provas
Questão presente nas seguintes provas
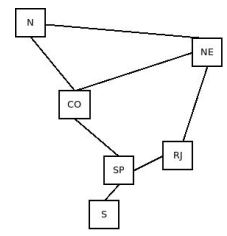
Para reduzir os custos de logística e aumentar sua eficiência, uma transportadora resolveu
implementar uma versão do Protocolo de Roteamento de Informação (em inglês RIP) entre seus
entrepostos de armazenamento espalhados no Brasil, sendo um em cada região, exceto no
Sudeste, onde ela tem instalações no RJ e em SP, conforme a Figura abaixo.

Considere que: • cada entreposto será chamado de nó e os caminhos entre eles, de enlaces. • no modelo usado pela transportadora, cada enlace possui custo igual a 1. I) A tabela de rotas em N conhecerá apenas os caminhos para NE e CO. II) O protocolo não converge, pois o número de nós ultrapassa o limite de nós do RIP. III) As maiores tabelas de roteamento estarão em CO, NE e SP, pois são os pontos mais interconectados. IV) Uma carga originada em RJ e destinada a N poderá ser enviada tanto por SP quanto por NE. Assinale a alternativa que possui apenas afirmativas CORRETAS

Considere que: • cada entreposto será chamado de nó e os caminhos entre eles, de enlaces. • no modelo usado pela transportadora, cada enlace possui custo igual a 1. I) A tabela de rotas em N conhecerá apenas os caminhos para NE e CO. II) O protocolo não converge, pois o número de nós ultrapassa o limite de nós do RIP. III) As maiores tabelas de roteamento estarão em CO, NE e SP, pois são os pontos mais interconectados. IV) Uma carga originada em RJ e destinada a N poderá ser enviada tanto por SP quanto por NE. Assinale a alternativa que possui apenas afirmativas CORRETAS
Provas
Questão presente nas seguintes provas
Define-se sistema autônomo (AS) como um conjunto de roteadores sob o mesmo controle
administrativo e que rodam o mesmo protocolo de roteamento (Kurose, 2013). Para simular o
funcionamento de um AS, os alunos do curso de redes devem escolher quais dos protocolos de
roteamento abaixo são internos, ou seja, característicos de sistemas autônomos.
Assinale a alternativa que possui APENAS protocolos de roteamento internos.
Provas
Questão presente nas seguintes provas
Em locais de grande circulação de pessoas, a configuração adequada do servidor DHCP
permite que todos os dispositivos obtenham IP adequadamente, que é o primeiro passo para
navegar na rede. Caso contrário, mesmo que o sinal de internet esteja forte, pode não ser possível
a navegação. Considere o cenário de um aeroporto e analise as afirmativas abaixo sobre a
configuração de servidores DHCP:
I) o tempo de concessão deve ser grande o suficiente que permita a navegação, mas pequeno o
suficiente para que o IP retorne rapidamente à faixa de IPs do servidor.
II) o servidor mal configurado resultará em uma inundação de mensagens DHCPREQUEST, o
que piora a qualidade da rede.
III) o fato de a renovação do IP no host ser independente de ação do próprio host agrava o problema. IV) os dispositivos podem se autoconfigurar com endereçamento IP privado automático (APIPA).
Assinale a alternativa que apresenta somente as afirmativas CORRETAS.
Provas
Questão presente nas seguintes provas
“Para determinar os nomes e endereços de roteadores entre origem e destino, o envia
uma série de datagramas ICMP comuns ao destino” (Adaptado de Kurose, 2013).
Dentre as ferramentas de diagnóstico listadas abaixo, assinale a alternativa que melhor completa o texto.
Provas
Questão presente nas seguintes provas
- Gerenciamento de RedesComandos e Ferramentas de Rede
- Protocolos e ServiçosRedes, Roteamento e TransporteICMP: Internet Control Message Protocol
- TCP/IPIPv4
Ao testar a conexão entre dois hosts com o comando ping, o usuário recebeu na tela de
comando mensagens do tipo Time-Exceeded. Assinale a opção que melhor explica o comportamento da aplicação.
Provas
Questão presente nas seguintes provas
Cadernos
Caderno Container