Magna Concursos

Foram encontradas 500 questões.

288824 Ano: 2016
Disciplina: Biologia
Banca: FCM
Orgão: IFFar
As moléculas de RNA-t atuam como adaptadores que traduzem sequências de nucleotídeos em proteínas. Nas moléculas ligadas à síntese proteica,
 

Provas

Questão presente nas seguintes provas
288823 Ano: 2016
Disciplina: Biologia
Banca: FCM
Orgão: IFFar
Analise o texto, adaptado de Borém (2004): Para análise de RFLP's, o procedimento consiste no isolamento do DNA da célula, digeri-lo com uma enzima de restrição, para assim poder separar todos os fragmentos gerados por meio de eletroforese em gel de agarose. Os fragmentos separados são, então, transferidos para uma membrana de celulose, utilizando-se a técnica Southern blotting. A detecção dos fragmentos polimórficos é obtida através de sua hibridização com sondas radioativas e pela avaliação dos RFLP's em autorradiogramas. Sobre técnicas de biologia molecular, o texto
 

Provas

Questão presente nas seguintes provas
288822 Ano: 2016
Disciplina: Biologia
Banca: FCM
Orgão: IFFar
O processo de extração e a purificação do DNA genômico compreende vários passos:
 

Provas

Questão presente nas seguintes provas
288821 Ano: 2016
Disciplina: Biologia
Banca: FCM
Orgão: IFFar
O tecido ósseo
 

Provas

Questão presente nas seguintes provas
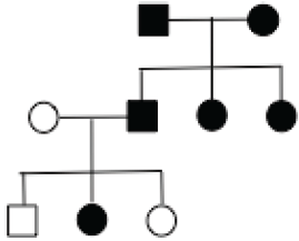
288820 Ano: 2016
Disciplina: Biologia
Banca: FCM
Orgão: IFFar
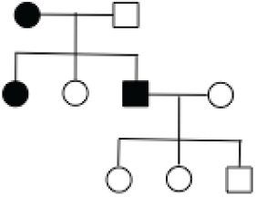
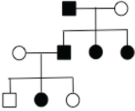
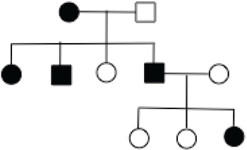
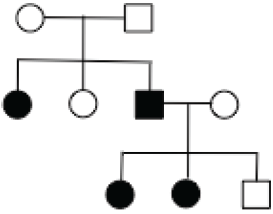
O heredograma que melhor caracteriza uma anomalia hereditária, ligada aos genes mitocondriais em seres humanos, é:
 

Provas

Questão presente nas seguintes provas
288819 Ano: 2016
Disciplina: Biologia
Banca: FCM
Orgão: IFFar
Sobre insetos, pode-se afirmar que:
 

Provas

Questão presente nas seguintes provas
288818 Ano: 2016
Disciplina: Biologia
Banca: FCM
Orgão: IFFar
A Teoria da Seleção Natural foi elaborada, primeiramente, por Charles Darwin (1859) e, também apreciada por seu contemporâneo e correspondente, Alfred Russel Wallace, e revolucionando o conhecimento científico. Sobre o processo evolutivo por meio da seleção natural,
 

Provas

Questão presente nas seguintes provas
288817 Ano: 2016
Disciplina: Biologia
Banca: FCM
Orgão: IFFar
A correta esterilização de equipamentos laboratoriais evita a contaminação de experimentos e de pessoas por microorganismos como bactérias, fungos e vírus. É exemplo de uma doença de origem virótica:
 

Provas

Questão presente nas seguintes provas
288816 Ano: 2016
Disciplina: Biologia
Banca: FCM
Orgão: IFFar
Em nosso século, o uso de plantas transgênicas vem aumentando consideravelmente. As plantas apresentam características biológicas únicas, algumas significando vantagens e outras, desvantagens, em métodos de aplicação da Engenharia Genética. Analise as características abaixo e marque (V) para as vantajosas ou (D) para as desvantajosas. ( ) Vegetais apresentam genomas muito grandes. ( ) Células vegetais apresentam parede celular. ( ) Vegetais apresentam crescimento lento. ( ) Podem realizar auto fecundação. ( ) Produção de grande número de descendentes. ( ) Plantas são totipotentes. A sequência correta é
 

Provas

Questão presente nas seguintes provas
288815 Ano: 2016
Disciplina: Biologia
Banca: FCM
Orgão: IFFar
Dentre os mamíferos, podemos destacar algumas particularidades exclusivas que os diferenciam dos demais vertebrados. Dentre elas,
 

Provas

Questão presente nas seguintes provas