Foram encontradas 40 questões.
O gradiente da função f(x, y) =
no ponto P (2,
3/4
) é igual a:
Provas
Questão presente nas seguintes provas
Uma esfera está inscrita em um cone circular reto de altura h e geratriz
5h/4
. Com base
nessas informações, o volume do cone e da esfera são, respectivamente, iguais a:
Provas
Questão presente nas seguintes provas
Sabendo que a equação 7x2 + 13y2 = 91 é a equação de uma cônica, é correto
afirmar que a equação dada é a equação de uma:
Provas
Questão presente nas seguintes provas
Em relação à função f(x)= 4x/x 2+1 , analise as seguintes assertivas:
I. f tem um ponto de máximo absoluto no ponto (1, 2).
II. f possui uma assíntota vertical, a reta x = 0.
III. No ponto no qual x = −1, f é côncava para cima.
Quais estão corretas?
Provas
Questão presente nas seguintes provas
O período da função f(x) =
1/3
cos ( 2x−6/3 ) é igual a:
Provas
Questão presente nas seguintes provas
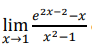
O valor do limite
é igual a:
Provas
Questão presente nas seguintes provas
Na Figura 1 abaixo, há um triângulo formado pela intersecção de três retas. As funções indicadas na figura são f(x)= 1/5 x + 17/5 , g(x) = −7x − 11 e h(x) = x − 3. Qual é a área do triângulo?

Provas
Questão presente nas seguintes provas
Sobre a função quadrática, analise as seguintes assertivas e assinale a alternativa
correta.
I. O gráfico da função g(x) = x 2 − 4x + 5 pode ser obtido transladando o gráfico da função f(x) = x 2 em duas unidades para a direita e 1 unidade para cima.
II. O gráfico da função h(x) = x 2 + 4x + 7 é obtido transladando o gráfico da função f(x) = x 2 em duas unidades para a direita e 3 unidades para cima.
III. O gráfico da função i(x) = −x 2 + 2 é obtido ao refletir o gráfico da função f(x) = x 2 em torno do eixo das abscissas e transladando em 2 unidades para cima.
I. O gráfico da função g(x) = x 2 − 4x + 5 pode ser obtido transladando o gráfico da função f(x) = x 2 em duas unidades para a direita e 1 unidade para cima.
II. O gráfico da função h(x) = x 2 + 4x + 7 é obtido transladando o gráfico da função f(x) = x 2 em duas unidades para a direita e 3 unidades para cima.
III. O gráfico da função i(x) = −x 2 + 2 é obtido ao refletir o gráfico da função f(x) = x 2 em torno do eixo das abscissas e transladando em 2 unidades para cima.
Provas
Questão presente nas seguintes provas
A solução geral da equação diferencial ordinária y " + y ' − 6y = −28e
4x + 12x é
igual a:
Provas
Questão presente nas seguintes provas
Sabe-se que o raio de convergência da série
é igual a 6. Nesse
caso, pode-se afirmar que:

Quais estão corretas?
Provas
Questão presente nas seguintes provas
Cadernos
Caderno Container