Foram encontradas 40 questões.
Uma função potencial associada ao campo vetorial
(x, y) = (8x + 8y)
+ (8x − 2)
é
igual a:
Provas
Questão presente nas seguintes provas
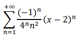
O raio e o intervalo de convergência da série de potências são, respectivamente, iguais a:

Provas
Questão presente nas seguintes provas
Dados os pontos A(-1,0,3), B(1,2,-3) e C(1,-2,-1), quais as coordenadas do
ponto D, do eixo das ordenadas, sabendo-se que o volume do tetraedro gerado pelos vetores
é igual a 4u.v.?
Provas
Questão presente nas seguintes provas
Dada a função f: (0, +∞) → ℝ, definida por f(x) = ln (
1/x
) + ln(2x3
), para qual valor
de x temos que f(x) = ln 4?
Provas
Questão presente nas seguintes provas
Convertendo a integral dupla em coordenadas retangulares

para uma integral dupla em coordenadas polares, obtém-se como resultado:
Provas
Questão presente nas seguintes provas
Considere as funções quadrática e afim abaixo apresentadas:
f(x) = ax2 + bx + c e g(x) = ax + (b + c)
Sabendo que o vértice da parábola é o ponto V ( 3/2 , 39/4 ) e o ponto (3,3) é um dos pontos de intersecção das curvas, pode-se dizer que o valor de a, b e c está indicado na alternativa:
f(x) = ax2 + bx + c e g(x) = ax + (b + c)
Sabendo que o vértice da parábola é o ponto V ( 3/2 , 39/4 ) e o ponto (3,3) é um dos pontos de intersecção das curvas, pode-se dizer que o valor de a, b e c está indicado na alternativa:
Provas
Questão presente nas seguintes provas
Considere a transformação linear T: R3 → R3
, definida por T(x, y, z) = (2z, x − y, −z).
Qual das alternativas abaixo é correta?
Provas
Questão presente nas seguintes provas
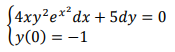
A solução do seguinte problema de valor inicial, é igual a:

Provas
Questão presente nas seguintes provas
O operador linear T: R3 → R3 , na base canônica do R3 , é dado pela matriz:

Sobre esse operador linear, assinale a alternativa correta.
Provas
Questão presente nas seguintes provas
Considerando o gráfico da função f que está esboçado na Figura 2 e sabendo que as
áreas das regiões em destaque valem, respectivamente, A1 =
19/12
, A2 =
13/12
e A3 =
5/12
, analise as
assertivas abaixo:

Quais estão corretas?

Quais estão corretas?
Provas
Questão presente nas seguintes provas
Cadernos
Caderno Container