Foram encontradas 40 questões.
Analise as seguintes afirmativas sobre sistemas de equação lineares algébricas.
( ) A soma dos elementos da diagonal principal de uma matriz é igual à soma dos seus autovalores.
( ) O determinante de uma matriz é igual ao produto dos seus autovalores.
( ) Não existe relação entre o determinante de uma matriz e seus autovalores.
Assinale a alternativa que apresenta a sequência CORRETA.
Provas
Analise as seguintes afirmativas sobre métodos de integração.
( ) Os métodos de integração numérica não permitem calcular o valor aproximado de uma integral definida sem conhecer uma expressão analítica.
( ) O método dos trapézios consiste em dividir o intervalo [a,b] de integração em subintervalos menores e calcular a área de cada subintervalo utilizando a fórmula da área do trapézio.
( ) O método dos trapézios só funciona para calcular a integral de polinômios.
Assinale a alternativa que apresenta a sequência CORRETA.
Provas
Provas
Analise as seguintes afirmativas sobre a análise de erro na solução de sistemas, e assinale V para afirmativas verdadeiras e F para as falsas.
( ) Um sistema linear em que uma pequena perturbação na matriz dos coeficientes acarreta uma grande mudança no vetor solução é chamado de mal-condicionado.
( ) O número de condição de uma matriz é mais apropriado para medir o quanto a matriz é mal-condicionada.
( ) Quanto maior o número de condição da matriz, menor o erro devido a uma perturbação.
Assinale a alternativa que apresenta a sequência CORRETA.
Provas

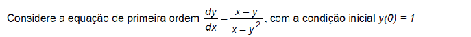
Podemos afirmar que a solução CORRETA do problema de valor inicial acima é:
Provas
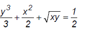
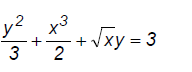
Deseja-se determinar a curva no plano xy que passa pelo ponto P = (0,3) e cuja tangente tem inclinação ![]()
Considerando os dados acima, é correto afirmar que a equação dessa curva é
Provas
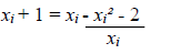
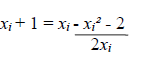
![]()
Analise as afirmativas e assinale a INCORRETA.
Provas
Considere R = {números reais} e a função f: R -{0} definida \(f(x) = sen\dfrac{1}{x}\). Para a função f, é CORRETO afirmar que
Provas
Provas
Segundo Coll (2000), os conteúdos de ensino não estão condicionados unicamente às disciplinas, mas abrangem outras capacidades, agrupadas, por ele, em conteúdos conceituais, procedimentais e atitudinais. Sobre esses conteúdos, analise as afirmativas e assinale V para as verdadeiras e F para as falsas.
( ) Os conteúdos conceituais são mais abstratos e demandam compreensão, reflexão, análise e comparação.
( ) As condições necessárias para a aprendizagem dos conteúdos conceituais demandam atividades que desencadeiem um processo de construção pessoal, que privilegie atividades experimentais capazes de acionar processos mentais.
( ) Para a aprendizagem dos conteúdos conceituais, as aulas expositivas, que lançam mão da memorização, constituem ricas estratégias de ensino.
( ) Os conteúdos procedimentais envolvem ações ordenadas com um fim, ou seja, direcionadas para realização de um objetivo, e que correspondem ao que se aprende a fazer, fazendo.
( ) Os conteúdos atitudinais estão impregnados de relações afetivas que fogem ao controle da escola, isentando-a de uma atuação mais pontual a respeito do desenvolvimento desse conteúdo.
( ) Os conteúdos conceituais correspondem ao compromisso histórico, ao passo que os conteúdos atitudinais correspondem ao compromisso filosófico da escola.
Assinale a sequência CORRETA.
Provas
Caderno Container