Foram encontradas 40 questões.
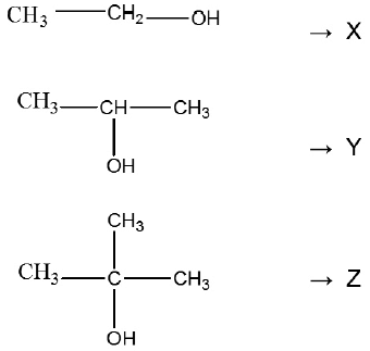
As reações orgânicas são frequentemente representadas por meio de equações abreviadas, nas quais são colocadas apenas os principais reagentes e produtos orgânicos. Considere as seguintes reações de oxidação dos compostos de alcoóis.

Com base nessas informações, assinale a alternativa INCORRETA.
Provas
Considere um experimento envolvendo a formação de água com um consumo de 8 mols de gás hidrogênio por minuto. Com base nessas informações, um estudante fez as seguintes afirmativas:
I. A velocidade de consumo de gás oxigênio é de 4 mols por minuto.
II. A velocidade dessa reação química depende apenas do número de colisões intermoleculares por unidade de tempo e da orientação das moléculas na colisão.
III. Sendo uma reação elementar, a expressão matemática da velocidade segundo a Lei de Guldberg-Waage é igual a \( k[H_2][O_2]^{1/2} \).
Estão corretas as afirmativas:
Provas
Nos processos que envolvem aquecimento de substâncias voláteis e / ou inflamáveis nos laboratórios, deve-se sempre levar em conta os perigos, assim como as técnicas específicas de aquecimento para diferentes tipos de substâncias.
Sobre os equipamentos e técnicas nos processos de aquecimentos de substâncias em laboratórios, assinale com V as afirmativas verdadeiras e com F as falsas.
( ) As mantas de aquecimento são processos eficientes quando se exige o controle de temperatura, sendo recomendáveis para líquidos voláteis.
( ) As chapas de aquecimento são mais recomendadas para líquidos pouco voláteis e inflamáveis.
( ) O bico de gás é usado para aquecimento de porcelana e materiais resistentes e para evaporação de soluções aquosas.
( ) O banho-maria de alta temperatura não é possível uma vez que a temperatura da água não ultrapassa os 100 ºC.
Assinale a sequência CORRETA.
Provas
Considere que em um laboratório, um técnico fez alguns experimentos com compostos de cádmio. Utilizou para isto fitas de zinco e cádmio metálicos e soluções de cloreto de cádmio e nitrato de níquel.
A partir dos seus experimentos, o técnico fez as seguintes observações:
I. Quando uma fita de zinco metálico é colocada em uma solução de \( CdCl_2(aq) \), o cádmio metálico deposita-se na fita.
II. Quando uma fita de cádmio metálico é colocada em uma solução de\( Ni(NO_3)_2(aq) \), o níquel metálico deposita-se na fita.
A partir desses dados, é correto afirmar que a reatividade dos metais Cd, Zn e Ni é disposta na seguinte ordem crescente:
Provas
A estequiometria é um importante conceito para entendermos e mensurarmos o quanto de um metal pode-se depositar em uma superfície por meio da eletrólise.
Considere que uma solução de \( AlCl_3 \) foi eletrolisada para formar Al durante um período de 1 hora. Sabendo que a corrente elétrica aplicada foi de 10,0 A, qual é a massa de alumínio produzida nesse período?
Dados: 1 Faraday = 96 500 C/mol de \( e^- \)
Provas
Os haletos orgânicos são compostos altamente reativos, motivo pelo qual são empregados como matéria-prima no preparo de compostos orgânicos. De acordo com a quantidade de carbonos e a conectividade entre átomos, esses compostos podem apresentar diferentes propriedades físicas.
Considere os seguintes compostos de metanos halogenados:
\( CCl_3F; CCl_2F_2; CClF_3 \;e\; CF_4 \)
Nas mesmas condições ambientais, é correto afirmar que a ordem crescente de temperatura de ebulição desses compostos é:
Provas
Os perfumes têm sido parte da vida civilizada há vários séculos, tanto para os homens como para as mulheres. A fragrância dos perfumes é classificada de acordo com suas origens. Os sistemas modernos de classificação das fragrâncias englobam vários grupos, organizados segundo a volatilidade de seus componentes. O óleo de jasmim é um exemplo de componentes químicos.

Sobre o óleo de jasmim, assinale a alternativa INCORRETA.
Provas
Segundo os conceitos de Arrhenius sobre ácido-base, as bases são compostos sólidos, de alto ponto de fusão e não conduzem corrente elétrica no estado sólido, mas passam a ser condutoras quando fundidas.
A partir das afirmações de Arrhenius, é correto afirmar:
Provas
Considere que um técnico, ao preparar uma solução de ácido clorídrico (HCl), utilizou 5 mL da solução concentrada do estoque. O rótulo do ácido concentrado apresentava os seguintes dados:
| Ácido clorídrico (HCl) |
|
Densidade = 1,2 g/mL % m/m = 36,5% |
Admitindo que o técnico preparou 100 mL da solução, é correto afirmar que a concentração da solução preparada pelo técnico é igual a:
Provas
A utilização de equipamentos de proteção individual é muito importante na profissão do técnico em química. As luvas, por exemplo, são extremamente importantes na proteção da integridade física do analista. Existem vários tipos de luvas utilizadas nos laboratórios.
Sobre a aplicabilidade dos diferentes tipos de luvas nos laboratórios de química, enumere a COLUNA II de acordo com a COLUNA I relacionando o tipo de luvas a sua empregabilidade nos laboratórios.
COLUNA I
1. Luvas de látex
2. Luvas de nitrila
3. Luvas grossa de PVC
COLUNA II
( ) Bom para ácidos e bases, ruim para a maioria dos solventes orgânicos.
( ) Bom para ácidos e bases diluídas, péssimo para solventes orgânicos.
( ) Bom para uma grande variedade de solventes orgânicos, ácidos e bases.
Assinale sequência CORRETA.
Provas
Caderno Container