Foram encontradas 60 questões.
Suponha que você esteja viajando em uma
nave espacial e encontra um semáforo à frente.
Devido à sua velocidade, a luz proveniente do
semáforo chega até sua nave na cor amarela (575
nm), porém, em um referencial estacionário (poste,
por exemplo), a luz emitida foi da cor vermelha (675
nm), o que pode provocar uma infração, inclusive
um acidente. Neste caso, podemos AFIRMAR
que a velocidade da nave espacial, em relação à
velocidade da luz c, corresponde a:
Provas
Questão presente nas seguintes provas
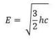
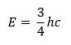
Com o surgimento da Física Quântica,
diversos modelos foram sugeridos e a física
experimental nunca se fez tão presente
na colaboração e solução dos problemas
encontrados. Explicar a natureza do espectro do
hidrogênio, no início do século XX, era um dos
principais problemas. Em 1906, o Físico Theodore
Lyman descobre, experimentalmente, a primeira
linha espectral resultante da emissão do átomo
de hidrogênio. Esse feito proporcionou outros
estudos, como as séries Balmer e Paschen,
assim como a equação de Rydberg que explicou
as linhas espectrais encontradas, e introduziu
a chamada constante de Rydberg (R). Já em
1913, Niels Bohr produziu sua teoria atômica e,
com isso, foi possível comparar sua teoria com a
equação de Rydberg, mostrando perfeita sintonia.
Assim, considerando um átomo de hidrogênio
estacionário emitindo um fóton correspondente à
primeira linha da série Lyman, podemos afirmar
que a energia (E) desse fóton corresponde a:
Provas
Questão presente nas seguintes provas
Se 1,00 g de matéria pudesse ser convertido
inteiramente em energia, qual seria o valor da
energia assim produzida a 27,5 centavos de Real
por kW.h?
Provas
Questão presente nas seguintes provas
O Sol irradia energia igualmente em todas
as direções. Na posição da Terra, a irradiância da
radiação do Sol é de 1,4 kW/m2 . Quanta massa o
Sol perde por dia por causa da radiação?
(Dado: distância entre o Sol e a Terra corresponde
a, aproximadamente, 1,50 × 1011 m)
Provas
Questão presente nas seguintes provas
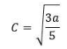
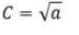
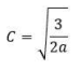
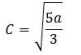
Suponha uma partícula contida em um poço quadrado inifinito, com largula que vai de x = − a até x = a. Sua função de onda é descrita como:

Podemos AFIRMAR que a constante de normalização C corresponde a:
Provas
Questão presente nas seguintes provas
- EletromagnetismoElétricaEletricidade
- EletromagnetismoElétricaForça Elétrica, Campo Elétrico e Eletrização
No espaço livre, a densidade de carga
elétrica ρE e a densidade de corrente elétrica JE são nulas. Nesta situação, fica destacada uma
simetria entre o campo elétrico E e o campo
magnético B nas equações de Maxwell. Por
outro lado, quando ρE e JE são diferentes de
zero, esta simetria não é evidente. No entanto, caso existissem cargas magnéticas e, por sua
vez, densidades de correntes magnéticas, tal
simetria seria recuperada. Neste contexto, na
presença de cargas magnéticas e densidades
de correntes magnéticas, qual das seguintes
equações de Maxwell estariam INCORRETAS?
(Dado: μº é a permeabilidade magnética no
vácuo e εº é a permissividade elétrica no vácuo.)


Provas
Questão presente nas seguintes provas
O peso específico de uma substância, que
constitui um corpo homogêneo, é defi nido como
a razão entre o peso P e o volume V do corpo.
Suponha que um corpo sólido e homogêneo,
quando colocado em um líquido com peso
específico λ1, apresenta um peso aparente P1; e
colocado no líquido com peso específico λ2, tem
peso aparente P2. O peso específico λ do corpo é:
Provas
Questão presente nas seguintes provas
Considere o modelo de um fluido em
equilíbrio no campo gravitacional. Admitindo que
o fluido é um gás ideal contido na atmosfera
isotérmica, e sabendo que a densidade e a
pressão em z = 0 são ρº e Pº, pode-se concluir
que a pressão em função da altitude z é ( g é
intensidade da gravidade):


Provas
Questão presente nas seguintes provas
Em um laboratório de pesquisa (referencial
R), uma partícula apresenta velocidade
u = (0,3c)i + (0,4c) j (onde u representa o vetor
velocidade e i e j são os vetores diretores). Neste
mesmo laboratório, um referencial R' se move com
velocidade v = (0,5c)i conforme a figura a seguir. 
Diante dos fatos (e dos dados), podemos AFIRMAR que o módulo da velocidade da partícula, na direção x, e em relação ao referencial R', corresponde a aproximadamente: (Dados: c = 300.000 km/s).

Diante dos fatos (e dos dados), podemos AFIRMAR que o módulo da velocidade da partícula, na direção x, e em relação ao referencial R', corresponde a aproximadamente: (Dados: c = 300.000 km/s).
Provas
Questão presente nas seguintes provas
O violino é um instrumento musical,
classificado como instrumento de cordas. Possui
quatro cordas percutidas, com afinação da
mais aguda à mais grave, e o som geralmente
é produzido pela ação de friccionar as cerdas
de um arco de madeiras sobre as cordas.
Sabendo que as cordas são de igual tamanho,
e que uma delas ressoa em sua frequência
fundamental de 196 Hz, onde (ao longo da corda
citada) você deve colocar seu dedo para que
sua frequência fundamental se torne 440 Hz?
Provas
Questão presente nas seguintes provas
Cadernos
Caderno Container