Magna Concursos

Foram encontradas 190 questões.

669847 Ano: 2018
Disciplina: Matemática
Banca: IADES
Orgão: IGEPPS-PA
Considerando E o espaço amostral e A, B, C e D, eventos de E, assinale a alternativa que corresponde à probabilidade de que o evento A não ocorra.
 

Provas

Questão presente nas seguintes provas
669846 Ano: 2018
Disciplina: Estatística
Banca: IADES
Orgão: IGEPPS-PA

enunciado 669846-1

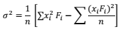
A turma do primeiro ano do curso de ciências atuariais tem 40 alunos, distribuídos nessa tabela por idade, sendo xi a idade do aluno e Fi o total de alunos com a idade xi.

Sabendo-se que a variância populacional é dada por

enunciado 669846-2

é correto afirmar que o desvio-padrão é

 

Provas

Questão presente nas seguintes provas
669845 Ano: 2018
Disciplina: Estatística
Banca: IADES
Orgão: IGEPPS-PA

enunciado 669845-1

A turma do primeiro ano do curso de ciências atuariais tem 40 alunos, distribuídos nessa tabela por idade, sendo xi a idade do aluno e Fi o total de alunos com a idade xi.

De acordo com a tabela, a média da idade dos alunos dessa turma é

 

Provas

Questão presente nas seguintes provas
669844 Ano: 2018
Disciplina: Estatística
Banca: IADES
Orgão: IGEPPS-PA

Seja enunciado 669844-1 o intervalo de confiança para a média populacional com variância populacional σ2 conhecida. De uma amostra aleatória com n = 100 observações, com σ2 = 100, apurou-se média amostral igual a 68,5. Sabendo que α = 5%, assinale a alternativa que indica o intervalo de 95% para a µ.

 

Provas

Questão presente nas seguintes provas
669843 Ano: 2018
Disciplina: Administração Geral
Banca: IADES
Orgão: IGEPPS-PA
Característica que faz com que o desempenho do grupo como um todo seja maior que a soma das contribuições individuais dos membros da equipe.
Considerando o contexto de uma equipe de trabalho, a definição apresentada refere-se a
 

Provas

Questão presente nas seguintes provas
669842 Ano: 2018
Disciplina: Administração Geral
Banca: IADES
Orgão: IGEPPS-PA
Quanto à definição de estratégia no contexto de uma organização, assinale a alternativa correta.
 

Provas

Questão presente nas seguintes provas
669841 Ano: 2018
Disciplina: Administração Geral
Banca: IADES
Orgão: IGEPPS-PA
Assinale a alternativa que apresenta os aspectos a serem considerados na escolha de um indicador de processos.
 

Provas

Questão presente nas seguintes provas
669840 Ano: 2018
Disciplina: Administração Geral
Banca: IADES
Orgão: IGEPPS-PA
Quanto à definição de grupo de trabalho, é correto afirmar que
 

Provas

Questão presente nas seguintes provas
669839 Ano: 2018
Disciplina: Administração Geral
Banca: IADES
Orgão: IGEPPS-PA
Uma das práticas usuais para identificação das forças motrizes que influenciarão determinado cenário é o princípio de Pareto. Assinale a alternativa que apresenta a definição desse princípio.
 

Provas

Questão presente nas seguintes provas
669838 Ano: 2018
Disciplina: Administração Geral
Banca: IADES
Orgão: IGEPPS-PA
Assinale a alternativa que indica o propósito dos símbolos de mapeamento de processo.
 

Provas

Questão presente nas seguintes provas