Foram encontradas 46 questões.
Em relação à informação, a Alimenthus Ltda apresenta:
Provas
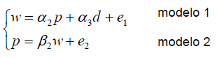
Considere por simplificação que o sistema de equações simultâneas, a seguir, é adequado para representar, sinteticamente, a espiral de preços e salários de uma economia:

onde w =variação no salário e p=variação no preço são variáveis endógenas; d=taxa de desemprego é variável exógena; e1 e e2 são erros aleatórios com média zero, variância constante, não autocorrelacionados e Cov(e1 , e2)=0.
Mantendo as demais hipóteses do Modelo Clássico de Regressão linear, considerando apenas as comparações entre os estimadores de Mínimos Quadrados Ordinários (MQO), Mínimos Quadrados Indiretos (MQI), Variáveis Instrumentais (VI) e Mínimos Quadrados em 2 Estágios (MQ2E), analise as proposições e assinale (V) para verdadeira e (F) para falsa.
( ) O estimador de MQO produzirá coeficientes viesados, inconsistentes e ineficientes
de
do modelo 2.
( ) Quando p e d forem independentes entre sí, o estimador de MQO produzirá um
estimador eficiente do parâmetro
do modelo 1.
( ) O parâmetro
do modelo 2 poderá ser estimado de maneira consistente apenas
por MQ2E já que a equação do modelo 2 é sobre-identificada.
( ) Para o modelo 2, os estimadores de MQI, VI e MQ2E produzirão os mesmos
resultados para o parâmetro
quando usamos a variável d como instrumento
para w.
( ) A equação do modelo 1 tem as condições necessárias e suficientes para ser exatamente identificada.
Assinale a alternativa correta, de cima para baixo.
Provas
Com relação à taxa natural de desemprego e ao trade-off entre inflação e desemprego, analise as proposições.
I. Na primeira versão da Curva de Phillips os agentes econômicos tinham uma expectativa de inflação futura maior que zero (πe>0).
II. A Taxa Natural de Desemprego pode ser chamada de taxa de desemprego não elevadora da inflação.
III. Solow e Samuelson (1960) propuseram uma versão da Curva de Phillips Aumentada pelas Expectativas e assumiram que a expectativa de inflação futura era maior que zero (πe>0).
IV. Friedman, (1968) apontou falhas na relação de Phillips, o que pode ser verificado na década de 70 em que os fixadores de salários alteram a maneira de formar suas expectativas, pois as taxas de inflação após 1960 passaram a permanecer em patamares positivos.
V. Na primeira versão da Curva de Phillips os fixadores de salários tinham uma expectativa de inflação futura igual a zero (πe=0).
Assinale a alternativa correta.
Provas
Observe os gráficos acima e considere as proposições.
I. O gráfico A pode representar uma empresa competitiva em equilíbrio de longo prazo. Nesse caso, a empresa produzirá a quantidade eficiente e obterá lucro econômico igual a zero.
II. A curto prazo, a empresa descrita no gráfico B deve produzir a quantidade que iguala a RMg com o CMg, mesmo que isso implique prejuízo. Mas no longo prazo deve sair desse mercado.
III. No gráfico C, vislumbra-se a situação de uma firma competitiva que apresenta prejuízo. IV. A empresa representada no Gráfico D, provavelmente, atua em um mercado de concorrência monopolística e está em equilíbrio de longo prazo.
V. No gráfico C, pode-se identificar a eficiência do monopólio natural, pois o mesmo produzirá a quantidades na escala eficiente.
Assinale a alternativa correta.
Provas
Analise as proposições em relação à informação.
I. Ao preço de R$ 70,00 por metro cúbico o mercado está em equilíbrio.
II. Ao preço de equilíbrio é preciso importar 140 metros cúbicos de madeira em tora.
III. Ao preço de R$ 80,00 por metro cúbico a demanda é inelástica. IV. A quantidade de equilíbrio é de 860 metros cúbicos.
V. A oferta é perfeitamente inelástica.
Assinale a alternativa correta.
Provas
foi utilizado
para analisar a relação entre Poluição por emissão de CO2 (Y) em função do Número de
Veículos (X2) e Produção industrial (X3) ao longo de 20 meses. Utilizando o estimador de
Mínimos Quadrados Ordinários, um pesquisador conseguiu obter os seguintes
resultados:
Onde,
são, respectivamente, as médias amostrais de
O pesquisador pensou em testar algumas das hipóteses do Modelo Clássico de Regressão
Linear (MCRL), como por exemplo, a autocorrelação de primeira ordem dos resíduos,
genericamente representada por
(onde et é White Noise com
média zero e variância constante) e também a Multicolinearidade medida pelo Fator de
Inflação de Variância.
Mantendo as demais hipóteses do MCLR, analise as proposições.
I. O teste de Fator de Inflação de Variância (FIV) do modelo é igual a 2.
II. O teste Durbin-Watson para autocorrelação de primeira ordem nos resíduos é igual a 2.
III. Sendo válidas as aproximações assintóticas, o valor de
será aproximadamente
igual a 1.
Assinale a alternativa correta.
Provas
Um economista elaborou um modelo de séries temporais com o objetivo de prever o número de queimadas ( Yt ) em um dado município do Estado de Santa Catarina. Para um número de observações suficientemente grande para valer as propriedades assintóticas, o economista obteve o seguinte resultado ao aplicar, com sucesso, a metodologia BoxJenkins:

Analise as proposições em relação à informação.
I. A série é estacionária com a raiz do polinômio característico do processo AR igual a 2.
II. A série é invertível com a raiz do polinômio característico do processo MA igual a 1,5. III. E(Yt) = 120
IV. E(Yt - E(Yt))2 = 1
Assinale a alternativa correta:
Provas
Como exemplo de aplicação dos conteúdos acima descritos, o autor Hall Varian discutiu em seu livro de microeconomia um problema em que procura determinar “quando” se deveria derrubar uma floresta para explorar a sua madeira (chamou isso de “investir na floresta”). Do ponto de vista de consumo, o agente pode estar analisando uma cesta de bens que decide entre as proporções de um produto orgânico versus um produto tradicional.
Neste contexto, de escolha ótima, assinale a alternativa correta.
Provas
Com relação à estrutura do Balanço de Pagamentos (BPM6) analise as proposições e assinale (V) para verdadeira e (F) para falsa.
( ) A conta de Transações Correntes é composta pela Balança Comercial, Serviços, Renda Primária e Investimento Direto.
( ) Ao somar a Conta de Capital com a Conta Financeira tem-se a Conta de Renda Secundária.
( ) Não existe mais a rubrica “Erros e Omissões” no BPM6.
( ) Quando o saldo da conta de Transações Correntes é maior que o saldo da Conta de Capital, o saldo das Reservas Internacionais será Positivo.
( ) A Balança Comercial (bens) registra os saldos das contas de juros, lucros e dividendos, salários e ordenados.
Assinale a alternativa correta.
Provas
Ao analisar a questão, considere:
I. Somente as informações acima descritas; II. O ambiente é livre de inflação; III. Que se trata de análise de curto prazo; IV. Que as variáveis econômicas têm comportamento típico; V. Que o mercado é perfeitamente competitivo; VI. Que toda a produção gera receita.
Analise as proposições em relação à informação e assinale (V) para verdadeira e (F) para falsa.
( ) O Custo Implícito desse investimento é de R$ 10.000,00 por mês.
( ) O Custo Marginal, na escala eficiente, é de R$ 1.000,00 por tonelada produzida.
( ) Considerando que a firma está produzindo a quantidade da escala eficiente com os 10 funcionários, e que para aumentar a produção precisa contratar mais um trabalhador, espera-se que a contratação de um 11º empregado gere uma deseconomia de escala.
( ) Para um nível de produção abaixo de 10 toneladas o Custo Marginal é maior que o Custo Total Médio.
( ) O preço que maximiza o Lucro Econômico de curto prazo, na escala eficiente, seria de R$ 1.000,00 por tonelada.
Assinale a alternativa correta, de cima para baixo.
Provas
Caderno Container