Foram encontradas 80 questões.
Uma partícula elétrica de carga unitária, dotada de massa e inicialmente parada, sofre a ação de um impulso, entrando imediatamente em uma região do espaço na qual o campo magnético é uniforme, passando a realizar um movimento no sistema de coordenadas XYZ, descrito pelas seguintes funções do tempo t:
!$ \begin{cases} x(t)=3 \, \sin(2t) \\ y(t)=8 \, t \\ z(t) = 3 \, \cos (2t) \end{cases} !$
Considerando todas as grandezas no Sistema Internacional de Unidades, o módulo do campo magnético é:
Dado:
• impulso: 1 0.
Observação:
• despreze a força gravitacional.
Provas
Questão presente nas seguintes provas
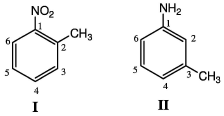
Considere as duas moléculas abaixo:

Ambas sofrerão nitração nos anéis aromáticos via substituição eletrofílica. Dentre as opções a seguir, a única que indica posições passíveis de substituição nas moléculas I e II, respectivamente, é:
Provas
Questão presente nas seguintes provas

Como mostra a figura acima, um microfone M está pendurado no teto, preso a uma mola ideal, verticalmente acima de um alto-falante A, que produz uma onda sonora cuja frequência é constante. O sistema está inicialmente em equilíbrio. Se o microfone for deslocado para baixo de uma distância d e depois liberado, a frequência captada pelo microfone ao passar pela segunda vez pelo ponto de equilíbrio será:
Dados:
• frequência da onda sonora produzida pelo alto-falante: f;
• constante elástica da mola: k,
• massa do microfone: m; e
• velocidade do som: !$ v_s !$.
Provas
Questão presente nas seguintes provas
APÓS A LEITURA ATENTA DOS TEXTOS A SEGUIR APRESENTADOS, RESPONDA A QUESTÃO.
Texto 1
A CONDIÇÃO HUMANA
A Vita Activa e a Condição Humana
Com a expressão vita activa, pretendo designar três atividades humanas fundamentais: labor, trabalho e ação. Trata-se de atividades fundamentais porque a cada uma delas corresponde uma das condições básicas mediante as quais a vida foi dada ao homem na Terra.
O labor é a atividade que corresponde ao processo biológico do corpo humano, cujos crescimento espontâneo, metabolismo e eventual declínio têm a ver com as necessidades vitais produzidas e introduzidas pelo labor no processo da vida A condição humana do labor é a própria vida.
O trabalho é a atividade correspondente ao artificialismo da existência humana, existência esta não necessariamente contida no eterno ciclo vital da espécie, e cuja mortalidade não é compensada por este último. O trabalho produz um mundo “artificial” de coisas, nitidamente diferente de qualquer ambiente natural. Dentro de suas fronteiras habita cada vida individual embora esse mundo se destine a sobreviver e a transcender todas as vidas individuais. A condição humana do trabalho é a mundanidade.
A ação, única atividade que se exerce diretamente entre os homens sem a mediação das coisas ou da matéria, corresponde à condição humana da pluralidade, ao fato de que homens, e não o Homem, vivem na Terra e habitam o mundo. Todos os aspectos da condição humana têm alguma relação com a política; mas esta pluralidade é especificamente a condição – não apenas a conditio sine qua non, mas a conditio per quam – de toda a vida política. Assim, o idioma dos romanos – talvez o povo mais político que conhecemos – empregava como sinônimas as expressões “viver” e “estar entre os homens” (inter homines esse), ou “morrer” e “deixar de estar entre os homens” (inter homines esse desinere). Mas, em sua forma mais elementar, a condição humana da ação está implícita até mesmo em Gênesis (macho e fêmea Ele os criou), se entendermos que esta versão da criação do homem diverge, em princípio, da outra segundo a qual Deus originalmente criou o Homem (adam) – a ele, e não a eles, de sorte que a pluralidade dos seres humanos vem a ser o resultado da multiplicação!$ ^1 !$. A ação seria um luxo desnecessário, uma caprichosa interferência com as leis gerais do comportamento, se os homens não passassem de repetições interminavelmente reproduzíveis do mesmo modelo, todas dotadas da mesma natureza e essência, tão previsíveis quanto a natureza e a essência de qualquer outra coisa. A pluralidade é a condição da ação humana pelo fato de sermos todos os mesmos, isto é, humanos, sem que ninguém seja exatamente igual a qualquer pessoa que tenha existido, exista ou venha a existir.
As três atividades e suas respectivas condições têm íntima relação com as condições mais gerais da existência humana: o nascimento e a morte, a natalidade e a mortalidade. O labor assegura não apenas a sobrevivência do indivíduo, mas a vida da espécie. O trabalho e seu produto, o artefato humano, emprestam certa permanência e durabilidade à futilidade da vida mortal e ao caráter efêmero do corpo humano. A ação, na medida em que se empenha em fundar e preservar corpos políticos, cria a condição para a lembrança, ou seja, para a história. O labor e o trabalho, bem como a ação, têm também raízes na natalidade, na medida em que sua tarefa é produzir e preservar o mundopara o constante influxo de recém chegados que vêm a este mundo na qualidade de estranhos, além de prevê-los e levá-los em conta Não obstante, das três atividades, a ação é a mais intimamente relacionada com a condição humana da natalidade o novo começo inerente a cada nascimento pode fazer-se sentir no mundo somente porque o recém-chegado possui a capacidade de iniciar algo novo, isto é, de agir. Neste sentido de iniciativa, todas as atividades humanas possuem um elemento de ação e, portanto, de natalidade. Além disto, como a ação é a atividade política por excelência, a natalidade, e não a mortalidade, pode constituir a categoria central do pensamento político, em contraposição ao pensamento metafísico.
A condição humana compreende algo mais que as condições nas quais a vida foi dada ao homem. Os homens são seres condicionados: tudo aquilo com o qual eles entram em contato torna-se imediatamente uma condição de sua existência. O mundo no qual transcorre a vita activa consiste em coisas produzidas pelas atividades humanas; mas, constantemente, as coisas que devem sua existência exclusivamente aos homens também condicionam os seus autores humanos. Além das condições nas quais a vida é dada ao homem na Terra e, até certo ponto, a partir delas, os homens constantemente criam as suas próprias condições que, a despeito de sua variabilidade e sua origem humana, possuem a mesma força condicionante das coisas naturais. O que quer que toque a vida humana ou entre em duradoura relação com ela, assume imediatamente o caráter de condição da existência humana. É por isso que os homens, independentemente do que façam, são sempre seres condicionados. Tudo o que espontaneamente adentra o mundo humano, ou para ele é trazido pelo esforço humano, torna-se parte da condição humana. O impacto da realidade do mundo sobre a existência humana é sentido e recebido como força condicionante. A objetividade do mundo – o seu caráter de coisa ou objeto – e a condição humana complementam-se uma à outra; por ser uma existência condicionada, a existência humana seria impossível sem as coisas, e estas seriam um amontoado de artigos incoerentes, um não mundo, se esses artigos não fossem condicionantes da existência humana.
Quando se analisa o pensamento político pós-clássico, muito se pode aprender verificando-se qual das duas versões bíblicas da criação é citada. Assim, é típico da diferença entre os ensinamentos de Jesus de Nazareth e de Paulo o fato de que Jesus, discutindo a relação entre marido e mulher, refere-se a Gênesis 1:27 “Não tendes lido que quem criou o homem desde o princípio fê-los macho e fêmea” (Mateus 19:4), enquanto Paulo, em ocasião semelhante, insiste em que a mulher foi criada “do homem” e, portanto, “para o homem”, embora em seguida atenue um pouco a dependência: “nem o varão é sem mulher, nem a mulher sem o varão” (1 Cor.11:8-12). A diferença indica muito mais que uma atitude diferente em relação ao papel da mulher. Para Jesus, a fé era intimamente relacionada com a ação; para Paulo, a fé relacionava-se, antes de mais nada, com a salvação. Especialmente interessante a este respeito é Agostinho (De civitate Dei xii.21), que não só desconsidera inteiramente o que é dito em Gênesis 1:27, mas vê a diferença entre o homem e o animal no fato de ter sido o homem criado unum ac singulum, enquanto se ordenou aos animais que “passassem a existir vários de uma só vez” (plura simul iussit existere). Para Agostinho, a história da criação constitui boa oportunidade para salientar-se o caráter de espécie da vida animal, em oposição à singularidade da existência humana.
ARENDT, Hannah. A Condição Humana. Tradução de Roberto Raposo: Editora da Universidade de São Paulo, 1981. pp. 15-17 (texto adaptado).
Texto 2
DAS VANTAGENS DE SER BOBO
O bobo, por não se ocupar com ambições, tem tempo para ver, ouvir e tocar o mundo. O bobo é capaz de ficar sentado quase sem se mexer por duas horas. Se perguntado por que não faz alguma coisa, responde: "Estou fazendo. Estou pensando.".
Ser bobo às vezes oferece um mundo de saída porque os espertos só se lembram de sair por meio da esperteza, e o bobo tem originalidade, espontaneamente lhe vem a ideia.
O bobo tem oportunidade de ver coisas que os espertos não veem. Os espertos estão sempre tão atentos às espertezas alheias que se descontraem diante dos bobos, e estes os veem como simples pessoas humanas. O bobo ganha utilidade e sabedoria para viver. O bobo nunca parece ter tido vez. No entanto, muitas vezes, o bobo é um Dostoievski.
Há desvantagem, obviamente. Uma boba, por exemplo, confiou na palavra de um desconhecido para a compra de um ar refrigerado de segunda mão: ele disse que o aparelho era novo, praticamente sem uso porque se mudara para a Gávea onde é fresco. Vai a boba e compra o aparelho sem vê-lo sequer. Resultado: não funciona. Chamado um técnico, a opinião deste era de que o aparelho estava tão estragado que o conserto seria caríssimo: mais valia comprar outro. Mas, em contrapartida, a vantagem de ser bobo é ter boa-fé, não desconfiar, e portanto estar tranquilo, enquanto o esperto não dorme à noite com medo de ser ludibriado. O esperto vence com úlcera no estômago. O bobo não percebe que venceu.
Aviso: não confundir bobos com burros. Desvantagem: pode receber uma punhalada de quem menos espera. É uma das tristezas que o bobo não prevê. César terminou dizendo a célebre frase: "Até tu, Brutus?".
Bobo não reclama. Em compensação, como exclama!
Os bobos, com todas as suas palhaçadas, devem estar todos no céu. Se Cristo tivesse sido esperto não teria morrido na cruz.
O bobo é sempre tão simpático que há espertos que se fazem passar por bobos. Ser bobo é uma criatividade e, como toda criação, é difícil. Por isso é que os espertos não conseguem passar por bobos. Os espertos ganham dos outros. Em compensação os bobos ganham a vida. Bem-aventurados os bobos porque sabem sem que ninguém desconfie. Aliás não se importam que saibam que eles sabem.
Há lugares que facilitam mais as pessoas serem bobas (não confundir bobo com burro, com tolo, com fútil). Minas Gerais, por exemplo, facilita ser bobo. Ah, quantos perdem por não nascer em Minas!
Bobo é Chagall, que põe vaca no espaço, voando por cima das casas. É quase impossível evitar o excesso de amor que o bobo provoca. É que só o bobo é capaz de excesso de amor. E só o amor faz o bobo.
LISPECTOR, Clarice. Das vantagens de ser bobo. Disponível em: http://www.revistapazes.com/das-vantagens-de-ser-bobo/. Acesso em 10 de maio de 2017. Originalmente publicado no Jornal do Brasil em 12 de setembro de 1970.
Texto 3
EXAUSTO
Eu quero uma licença de dormir,
perdão pra descansar horas a fio,
sem ao menos sonhar
a leve palha de um pequeno sonho.
Quero o que antes da vida
foi o sono profundo das espécies,
a graça de um estado.
Semente.
Muito mais que raízes.
PRADO, Adelia. Exausto. Disponível em <http://byluleoa-tecendopalavras.blogspot.com.br/>. Acesso em 31/07/17.
Sobre as considerações a respeito de ser esperto vs. ser bobo encontradas no texto 2, assinale o par de análises que destoa das considerações feitas pela autora.
Provas
Questão presente nas seguintes provas
APÓS A LEITURA ATENTA DOS TEXTOS A SEGUIR APRESENTADOS, RESPONDA A QUESTÃO.
Texto 1
A CONDIÇÃO HUMANA
A Vita Activa e a Condição Humana
Com a expressão vita activa, pretendo designar três atividades humanas fundamentais: labor, trabalho e ação. Trata-se de atividades fundamentais porque a cada uma delas corresponde uma das condições básicas mediante as quais a vida foi dada ao homem na Terra.
O labor é a atividade que corresponde ao processo biológico do corpo humano, cujos crescimento espontâneo, metabolismo e eventual declínio têm a ver com as necessidades vitais produzidas e introduzidas pelo labor no processo da vida A condição humana do labor é a própria vida.
O trabalho é a atividade correspondente ao artificialismo da existência humana, existência esta não necessariamente contida no eterno ciclo vital da espécie, e cuja mortalidade não é compensada por este último. O trabalho produz um mundo “artificial” de coisas, nitidamente diferente de qualquer ambiente natural. Dentro de suas fronteiras habita cada vida individual embora esse mundo se destine a sobreviver e a transcender todas as vidas individuais. A condição humana do trabalho é a mundanidade.
A ação, única atividade que se exerce diretamente entre os homens sem a mediação das coisas ou da matéria, corresponde à condição humana da pluralidade, ao fato de que homens, e não o Homem, vivem na Terra e habitam o mundo. Todos os aspectos da condição humana têm alguma relação com a política; mas esta pluralidade é especificamente a condição – não apenas a conditio sine qua non, mas a conditio per quam – de toda a vida política. Assim, o idioma dos romanos – talvez o povo mais político que conhecemos – empregava como sinônimas as expressões “viver” e “estar entre os homens” (inter homines esse), ou “morrer” e “deixar de estar entre os homens” (inter homines esse desinere). Mas, em sua forma mais elementar, a condição humana da ação está implícita até mesmo em Gênesis (macho e fêmea Ele os criou), se entendermos que esta versão da criação do homem diverge, em princípio, da outra segundo a qual Deus originalmente criou o Homem (adam) – a ele, e não a eles, de sorte que a pluralidade dos seres humanos vem a ser o resultado da multiplicação!$ ^1 !$. A ação seria um luxo desnecessário, uma caprichosa interferência com as leis gerais do comportamento, se os homens não passassem de repetições interminavelmente reproduzíveis do mesmo modelo, todas dotadas da mesma natureza e essência, tão previsíveis quanto a natureza e a essência de qualquer outra coisa. A pluralidade é a condição da ação humana pelo fato de sermos todos os mesmos, isto é, humanos, sem que ninguém seja exatamente igual a qualquer pessoa que tenha existido, exista ou venha a existir.
As três atividades e suas respectivas condições têm íntima relação com as condições mais gerais da existência humana: o nascimento e a morte, a natalidade e a mortalidade. O labor assegura não apenas a sobrevivência do indivíduo, mas a vida da espécie. O trabalho e seu produto, o artefato humano, emprestam certa permanência e durabilidade à futilidade da vida mortal e ao caráter efêmero do corpo humano. A ação, na medida em que se empenha em fundar e preservar corpos políticos, cria a condição para a lembrança, ou seja, para a história. O labor e o trabalho, bem como a ação, têm também raízes na natalidade, na medida em que sua tarefa é produzir e preservar o mundopara o constante influxo de recém chegados que vêm a este mundo na qualidade de estranhos, além de prevê-los e levá-los em conta Não obstante, das três atividades, a ação é a mais intimamente relacionada com a condição humana da natalidade o novo começo inerente a cada nascimento pode fazer-se sentir no mundo somente porque o recém-chegado possui a capacidade de iniciar algo novo, isto é, de agir. Neste sentido de iniciativa, todas as atividades humanas possuem um elemento de ação e, portanto, de natalidade. Além disto, como a ação é a atividade política por excelência, a natalidade, e não a mortalidade, pode constituir a categoria central do pensamento político, em contraposição ao pensamento metafísico.
A condição humana compreende algo mais que as condições nas quais a vida foi dada ao homem. Os homens são seres condicionados: tudo aquilo com o qual eles entram em contato torna-se imediatamente uma condição de sua existência. O mundo no qual transcorre a vita activa consiste em coisas produzidas pelas atividades humanas; mas, constantemente, as coisas que devem sua existência exclusivamente aos homens também condicionam os seus autores humanos. Além das condições nas quais a vida é dada ao homem na Terra e, até certo ponto, a partir delas, os homens constantemente criam as suas próprias condições que, a despeito de sua variabilidade e sua origem humana, possuem a mesma força condicionante das coisas naturais. O que quer que toque a vida humana ou entre em duradoura relação com ela, assume imediatamente o caráter de condição da existência humana. É por isso que os homens, independentemente do que façam, são sempre seres condicionados. Tudo o que espontaneamente adentra o mundo humano, ou para ele é trazido pelo esforço humano, torna-se parte da condição humana. O impacto da realidade do mundo sobre a existência humana é sentido e recebido como força condicionante. A objetividade do mundo – o seu caráter de coisa ou objeto – e a condição humana complementam-se uma à outra; por ser uma existência condicionada, a existência humana seria impossível sem as coisas, e estas seriam um amontoado de artigos incoerentes, um não mundo, se esses artigos não fossem condicionantes da existência humana.
Quando se analisa o pensamento político pós-clássico, muito se pode aprender verificando-se qual das duas versões bíblicas da criação é citada. Assim, é típico da diferença entre os ensinamentos de Jesus de Nazareth e de Paulo o fato de que Jesus, discutindo a relação entre marido e mulher, refere-se a Gênesis 1:27 “Não tendes lido que quem criou o homem desde o princípio fê-los macho e fêmea” (Mateus 19:4), enquanto Paulo, em ocasião semelhante, insiste em que a mulher foi criada “do homem” e, portanto, “para o homem”, embora em seguida atenue um pouco a dependência: “nem o varão é sem mulher, nem a mulher sem o varão” (1 Cor.11:8-12). A diferença indica muito mais que uma atitude diferente em relação ao papel da mulher. Para Jesus, a fé era intimamente relacionada com a ação; para Paulo, a fé relacionava-se, antes de mais nada, com a salvação. Especialmente interessante a este respeito é Agostinho (De civitate Dei xii.21), que não só desconsidera inteiramente o que é dito em Gênesis 1:27, mas vê a diferença entre o homem e o animal no fato de ter sido o homem criado unum ac singulum, enquanto se ordenou aos animais que “passassem a existir vários de uma só vez” (plura simul iussit existere). Para Agostinho, a história da criação constitui boa oportunidade para salientar-se o caráter de espécie da vida animal, em oposição à singularidade da existência humana.
ARENDT, Hannah. A Condição Humana. Tradução de Roberto Raposo: Editora da Universidade de São Paulo, 1981. pp. 15-17 (texto adaptado).
Texto 2
DAS VANTAGENS DE SER BOBO
O bobo, por não se ocupar com ambições, tem tempo para ver, ouvir e tocar o mundo. O bobo é capaz de ficar sentado quase sem se mexer por duas horas. Se perguntado por que não faz alguma coisa, responde: "Estou fazendo. Estou pensando.".
Ser bobo às vezes oferece um mundo de saída porque os espertos só se lembram de sair por meio da esperteza, e o bobo tem originalidade, espontaneamente lhe vem a ideia.
O bobo tem oportunidade de ver coisas que os espertos não veem. Os espertos estão sempre tão atentos às espertezas alheias que se descontraem diante dos bobos, e estes os veem como simples pessoas humanas. O bobo ganha utilidade e sabedoria para viver. O bobo nunca parece ter tido vez. No entanto, muitas vezes, o bobo é um Dostoievski.
Há desvantagem, obviamente. Uma boba, por exemplo, confiou na palavra de um desconhecido para a compra de um ar refrigerado de segunda mão: ele disse que o aparelho era novo, praticamente sem uso porque se mudara para a Gávea onde é fresco. Vai a boba e compra o aparelho sem vê-lo sequer. Resultado: não funciona. Chamado um técnico, a opinião deste era de que o aparelho estava tão estragado que o conserto seria caríssimo: mais valia comprar outro. Mas, em contrapartida, a vantagem de ser bobo é ter boa-fé, não desconfiar, e portanto estar tranquilo, enquanto o esperto não dorme à noite com medo de ser ludibriado. O esperto vence com úlcera no estômago. O bobo não percebe que venceu.
Aviso: não confundir bobos com burros. Desvantagem: pode receber uma punhalada de quem menos espera. É uma das tristezas que o bobo não prevê. César terminou dizendo a célebre frase: "Até tu, Brutus?".
Bobo não reclama. Em compensação, como exclama!
Os bobos, com todas as suas palhaçadas, devem estar todos no céu. Se Cristo tivesse sido esperto não teria morrido na cruz.
O bobo é sempre tão simpático que há espertos que se fazem passar por bobos. Ser bobo é uma criatividade e, como toda criação, é difícil. Por isso é que os espertos não conseguem passar por bobos. Os espertos ganham dos outros. Em compensação os bobos ganham a vida. Bem-aventurados os bobos porque sabem sem que ninguém desconfie. Aliás não se importam que saibam que eles sabem.
Há lugares que facilitam mais as pessoas serem bobas (não confundir bobo com burro, com tolo, com fútil). Minas Gerais, por exemplo, facilita ser bobo. Ah, quantos perdem por não nascer em Minas!
Bobo é Chagall, que põe vaca no espaço, voando por cima das casas. É quase impossível evitar o excesso de amor que o bobo provoca. É que só o bobo é capaz de excesso de amor. E só o amor faz o bobo.
LISPECTOR, Clarice. Das vantagens de ser bobo. Disponível em: http://www.revistapazes.com/das-vantagens-de-ser-bobo/. Acesso em 10 de maio de 2017. Originalmente publicado no Jornal do Brasil em 12 de setembro de 1970.
Texto 3
EXAUSTO
Eu quero uma licença de dormir,
perdão pra descansar horas a fio,
sem ao menos sonhar
a leve palha de um pequeno sonho.
Quero o que antes da vida
foi o sono profundo das espécies,
a graça de um estado.
Semente.
Muito mais que raízes.
PRADO, Adelia. Exausto. Disponível em <http://byluleoa-tecendopalavras.blogspot.com.br/>. Acesso em 31/07/17.
Observe os conectivos destacados no trecho abaixo, retirado do texto 2. Assinale a opção em que a análise semântica está de acordo com a que foi estabelecida no texto.
(…) ele disse que o aparelho era novo, praticamente sem uso porque se mudara para a Gávea onde é fresco. Vai a boba e compra o aparelho sem vê-lo sequer. Resultado: não funciona. Chamado um técnico, a opinião deste era de que o aparelho estava tão estragado que o conserto seria caríssimo: mais valia comprar outro. Mas, em contrapartida, a vantagem de ser bobo é ter boa-fé, não desconfiar, e portanto estar tranquilo, enquanto o esperto não dorme à noite com medo de ser ludibriado. O esperto vence com úlcera no estômago. O bobo não percebe que venceu .
Provas
Questão presente nas seguintes provas
PARA A QUESTÃO, RESPONDA DE ACORDO COM O TEXTO 2 A SEGUIR.
Texto 2
HYPATIA OF ALEXANDRIA
Hypatia of Alexandria (c. 370 CE – March 415 CE) was a female philosopher and mathematician, born in Alexandria, Egypt possibly in 370 CE (although some scholars cite her birth as c. 350 CE). She was the daughter of the mathematician Theon, the last Professor at the University of Alexandria, who tutored her in math, astronomy, and the philosophy of the day which, in modern times, would be considered science. Nothing is known of her mother and there is little information about her life. As the historian Deakin writes, "The most detailed accounts we have of Hypatia's life are the records of her death. We learn more about her death from the primary sources than we do about any other aspect of her life". She was murdered in 415 CE by a Christian mob who attacked her on the streets of Alexandria. The primary sources, even those Christian writers who were hostile to her and claimed she was a witch, portray her as a woman who was widely known for her generosity, love of learning, and expertise in teaching in the subjects of Neo-Platonism, mathematics, science, and philosophy in general.
In a city which was becoming increasingly diverse religiously (and had always been so culturally) Hypatia was a close friend of the pagan prefect Orestes and was blamed by Cyril, the Christian Archbishop of Alexandria, for keeping Orestes from accepting the 'true faith'. She was also seen as a 'stumbling block' to those who would have accepted the 'truth' of Christianity were it not for her charisma, charm, and excellence in making difficult mathematical and philosophical concepts understandable to her students; concepts which contradicted the teachings of the relatively new church. Alexandria was a great seat of learning in the early days of Christianity but, as the faith grew in adherents and power, steadily became divided by fighting among religious factions. It is by no means an exaggeration to state that Alexandria was destroyed as a centre of culture and learning by religious intolerance, and Hypatia has come to symbolize this tragedy to the extent that her death has been cited as the end of the classical world.
By all accounts, Hypatia was an extraordinary woman not only for her time, but for any time. Theon refused to impose upon his daughter the traditional role assigned to women and raised her as one would have raised a son in the Greek tradition; by teaching her his own trade. The historian Slatkin writes, "Greek women of all classes were occupied with the same type of work, mostly centered around the domestic needs of the family. Women cared for young children, nursed the sick, and prepared food". Hypatia, on the other hand, led the life of a respected academic at Alexandria's university; a position to which, as far as the evidence suggests, only males were entitled previously. She never married and remained celibate throughout her life, devoting herself to learning and teaching. The ancient writers are in agreement that she was a woman of enormous intellectual power. Deakin writes:
“The breadth of her interests is most impressive. Within mathematics, she wrote or lectured on astronomy (including its observational aspects - the astrolabe), geometry (and for its day advanced geometry at that) and algebra (again, for its time, difficult algebra), and made an advance in computational technique - all this as well as engaging in religious philosophy and aspiring to a good writing style. Her writings were, as best we can judge, an outgrowth of her teaching in the technical areas of mathematics. In effect, she was continuing a program initiated by her father: a conscious effort to preserve and to elucidate the great mathematical works of the Alexandrian heritage.”
CE = Common Era, the same as AD, Anno Domini.
MARK, Joshua J. Hypatia of Alexandria. In: Ancient History Encyclopedia, 2017. Disponível em: <http://www.ancient.eu/Hypatia_of_Alexandria/>. Acesso em: 20/06/2017.
Choose the correct option.
Provas
Questão presente nas seguintes provas
PARA A QUESTÃO, RESPONDA DE ACORDO COM O TEXTO 2 A SEGUIR.
Texto 2
HYPATIA OF ALEXANDRIA
Hypatia of Alexandria (c. 370 CE – March 415 CE) was a female philosopher and mathematician, born in Alexandria, Egypt possibly in 370 CE (although some scholars cite her birth as c. 350 CE). She was the daughter of the mathematician Theon, the last Professor at the University of Alexandria, who tutored her in math, astronomy, and the philosophy of the day which, in modern times, would be considered science. Nothing is known of her mother and there is little information about her life. As the historian Deakin writes, "The most detailed accounts we have of Hypatia's life are the records of her death. We learn more about her death from the primary sources than we do about any other aspect of her life". She was murdered in 415 CE by a Christian mob who attacked her on the streets of Alexandria. The primary sources, even those Christian writers who were hostile to her and claimed she was a witch, portray her as a woman who was widely known for her generosity, love of learning, and expertise in teaching in the subjects of Neo-Platonism, mathematics, science, and philosophy in general.
In a city which was becoming increasingly diverse religiously (and had always been so culturally) Hypatia was a close friend of the pagan prefect Orestes and was blamed by Cyril, the Christian Archbishop of Alexandria, for keeping Orestes from accepting the 'true faith'. She was also seen as a 'stumbling block' to those who would have accepted the 'truth' of Christianity were it not for her charisma, charm, and excellence in making difficult mathematical and philosophical concepts understandable to her students; concepts which contradicted the teachings of the relatively new church. Alexandria was a great seat of learning in the early days of Christianity but, as the faith grew in adherents and power, steadily became divided by fighting among religious factions. It is by no means an exaggeration to state that Alexandria was destroyed as a centre of culture and learning by religious intolerance, and Hypatia has come to symbolize this tragedy to the extent that her death has been cited as the end of the classical world.
By all accounts, Hypatia was an extraordinary woman not only for her time, but for any time. Theon refused to impose upon his daughter the traditional role assigned to women and raised her as one would have raised a son in the Greek tradition; by teaching her his own trade. The historian Slatkin writes, "Greek women of all classes were occupied with the same type of work, mostly centered around the domestic needs of the family. Women cared for young children, nursed the sick, and prepared food". Hypatia, on the other hand, led the life of a respected academic at Alexandria's university; a position to which, as far as the evidence suggests, only males were entitled previously. She never married and remained celibate throughout her life, devoting herself to learning and teaching. The ancient writers are in agreement that she was a woman of enormous intellectual power. Deakin writes:
“The breadth of her interests is most impressive. Within mathematics, she wrote or lectured on astronomy (including its observational aspects - the astrolabe), geometry (and for its day advanced geometry at that) and algebra (again, for its time, difficult algebra), and made an advance in computational technique - all this as well as engaging in religious philosophy and aspiring to a good writing style. Her writings were, as best we can judge, an outgrowth of her teaching in the technical areas of mathematics. In effect, she was continuing a program initiated by her father: a conscious effort to preserve and to elucidate the great mathematical works of the Alexandrian heritage.”
CE = Common Era, the same as AD, Anno Domini.
MARK, Joshua J. Hypatia of Alexandria. In: Ancient History Encyclopedia, 2017. Disponível em: <http://www.ancient.eu/Hypatia_of_Alexandria/>. Acesso em: 20/06/2017.
Choose the correct meaning of outgrowth in the sentence “Her writings were, as best we can judge, an outgrowth of her teaching (…)” .
Provas
Questão presente nas seguintes provas

A figura acima mostra um circuito formado por quatro resistores e duas baterias. Sabendo que a diferença de potencial entre os terminais do resistor de 1 !$ \Omega !$ é zero, o valor da tensão U, em volts, é:
Provas
Questão presente nas seguintes provas
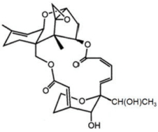
Dada a estrutura química da satratoxina-H abaixo, podemos afirmar que essa molécula possui:

Provas
Questão presente nas seguintes provas
Considere o diagrama de fases simples para o benzeno, em que PC é o ponto crítico e PT o ponto triplo.

Os pontos de fusão e de ebulição do benzeno a 1,0 atm são iguais a 5,53 ºC e 80, 1 ºC, respectivamente. Considere ainda, o ponto P (5,50 ºC, 55 atm) como ponto de partida das transformações sequenciais discriminadas abaixo:
(1) Inicialmente, elevação da temperatura até 300 ºC, em um processo isobárico;
(2) Redução da pressão até 38 atm, em um processo isotérmico;
(3) Redução da temperatura até 5,50 ºC, em um processo isobárico;
(4) Finalmente, redução da pressão até 0,02 atm, em um processo isotérmico.
Assinale a alternativa que apresenta a ordem correta das mudanças de fase observadas ao longo do processo descrito.
Provas
Questão presente nas seguintes provas
Cadernos
Caderno Container