Foram encontradas 60 questões.
- ÁlgebraÁlgebra LinearDeterminantes
- ÁlgebraÁlgebra LinearMatrizes
- ÁlgebraÁlgebra LinearSistemas lineares
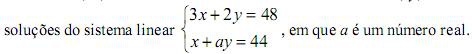
Um técnico é incumbido de examinar alguns lotes de instrumentos de medida. Em cada lote, ele separa os instrumentos descalibrados dos sem defeito. Em determinado lote, ele verifica que o número de instrumentos sem defeito, x, e o número de instrumentos descalibrados, y, são as

Sabendo-se que o determinante da matriz dos coeficientes desse sistema é igual a 7, é correto afirmar que o número de instrumentos examinados nesse lote foi

Sabendo-se que o determinante da matriz dos coeficientes desse sistema é igual a 7, é correto afirmar que o número de instrumentos examinados nesse lote foi
Provas
Questão presente nas seguintes provas
Um quarto tem o formato de um paralelepípedo retângulo com volume de 60 m3 . Sabendo-se que o piso desse quarto tem área de 20 m2 e perímetro de 18 m, é correto afirmar que a soma das 3 dimensões do quarto é igual a
Provas
Questão presente nas seguintes provas
Cláudio e Sérgio são candidatos a ocupar uma vaga em uma empresa privada. Sabe-se que a probabilidade de Cláudio ser contratado é 9/20 , que a probabilidade de Sérgio ser contratado é 8/15 e que a probabilidade de nenhum dos dois ser contratado é 13/ 60.
A respeito dessa situação hipotética, assinale a opção correta.
A respeito dessa situação hipotética, assinale a opção correta.
Provas
Questão presente nas seguintes provas
Em uma classe de 20 alunos, foi realizada uma pesquisa de opinião relativa à prática de futebol e de vôlei. Do total de alunos da classe, 5 afirmaram praticar apenas vôlei e 9 afirmaram praticar futebol.
De acordo com a situação exposta no texto, o número de alunos que não praticam vôlei nem futebol é igual a
De acordo com a situação exposta no texto, o número de alunos que não praticam vôlei nem futebol é igual a
Provas
Questão presente nas seguintes provas

Provas
Questão presente nas seguintes provas

Depreende-se das informações do texto acima que
Provas
Questão presente nas seguintes provas

Provas
Questão presente nas seguintes provas

Provas
Questão presente nas seguintes provas

No fragmento de texto acima, a oração “se o país (...) bem remunerados” (l.5-7) estabelece, com a oração que lhe antecede, uma relação de
Provas
Questão presente nas seguintes provas
- SintaxeConectivos
- SemânticaSinônimos e Antônimos
- Interpretação de TextosSubstituição/Reescritura de Texto

Provas
Questão presente nas seguintes provas
Cadernos
Caderno Container