Foram encontradas 1.803 questões.

A solanapirona D, mostrada na figura I, é um policetídeo fitotóxico isolado do fungo Altenaria solani. Em uma das sínteses totais da solanapirona D foi adotada a reação de Diels-Alder intramolecular para a construção da unidade bicíclica E da figura II. Para a construção do dieno D foi utilizada a reação de Suzuki entre os intermediários F e G, da figura III. Com base nessas informações, julgue os próximos itens.
A presença do grupo mostrado na figura abaixo na estrutura do intermediário D (figura II) diminui a velocidade da reação de Diels-Alder intramolecular quando comparada à mesma reação sofrida pelo intermediário H (figura III).

Provas

A solanapirona D, mostrada na figura I, é um policetídeo fitotóxico isolado do fungo Altenaria solani. Em uma das sínteses totais da solanapirona D foi adotada a reação de Diels-Alder intramolecular para a construção da unidade bicíclica E da figura II. Para a construção do dieno D foi utilizada a reação de Suzuki entre os intermediários F e G, da figura III. Com base nessas informações, julgue os próximos itens.

Provas

A solanapirona D, mostrada na figura I, é um policetídeo fitotóxico isolado do fungo Altenaria solani. Em uma das sínteses totais da solanapirona D foi adotada a reação de Diels-Alder intramolecular para a construção da unidade bicíclica E da figura II. Para a construção do dieno D foi utilizada a reação de Suzuki entre os intermediários F e G, da figura III. Com base nessas informações, julgue os próximos itens.
Provas

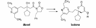
A figura acima ilustra a estratégia de síntese desenvolvida para o Filibuvir, em que o álcool é convertido na lactona, um intermediário avançado. Com relação a essas informações, julgue os itens que se seguem.
A reação entre o álcool e a estrutura química mostrada na figura abaixo sob catálise ácida e presença de água leva à formação de um cetal, o que permite a reação de uma base forte com o segundo sítio mais ácido do álcool.
Provas

A figura acima ilustra a estratégia de síntese desenvolvida para o Filibuvir, em que o álcool é convertido na lactona, um intermediário avançado. Com relação a essas informações, julgue os itens que se seguem.
A reação, na presença de NaH em tetrahidrofurano, entre a molécula mostrada na figura abaixo e a lactona, leva à formação do Filibuvir.

Provas

A figura acima ilustra a estratégia de síntese desenvolvida para o Filibuvir, em que o álcool é convertido na lactona, um intermediário avançado. Com relação a essas informações, julgue os itens que se seguem.
Nas figuras abaixo, a reação entre a lactona e a molécula mostrada na figura I, na presença da estrutura química mostrada na figura II sob refluxo de ácido acético, forma o composto químico ilustrado na figura III.

Provas

A figura acima ilustra a estratégia de síntese desenvolvida para o Filibuvir, em que o álcool é convertido na lactona, um intermediário avançado. Com relação a essas informações, julgue os itens que se seguem.
As figuras I, II e III abaixo mostram que o sal de lítio da lactona é preparado pela reação entre a estrutura química mostrada na figura I e o produto da reação entre o álcool e o composto químico mostrado na figura II, em presença da molécula ilustrada na figura III.

Provas

Recentemente, uma empresa farmacêutica desenvolveu um novo inibidor da RNA polimerase do vírus causador da hepatite C. A estrutura desse medicamento, denominado Filibuvir, está ilustrada na figura I acima. A rota de síntese utilizada no processo industrial de preparação do Filibuvir se baseia na união dos compostos químicos A, B e C mostrados na figura II acima. A partir dessas informações e das figuras, julgue os itens de 109 a 113.
O alceno mostrado na figura A abaixo é o estereoisômero majoritário da reação entre o composto químico C da figura II e a estrutura química na figura B abaixo.

Provas

Recentemente, uma empresa farmacêutica desenvolveu um novo inibidor da RNA polimerase do vírus causador da hepatite C. A estrutura desse medicamento, denominado Filibuvir, está ilustrada na figura I acima. A rota de síntese utilizada no processo industrial de preparação do Filibuvir se baseia na união dos compostos químicos A, B e C mostrados na figura II acima. A partir dessas informações e das figuras, julgue os itens de 109 a 113.
A reação, catalisada por uma amina terciária, da estrutura química mostrada na figura A abaixo com o composto químico C da figura II leva à formação da molécula ilustrada na figura B abaixo.

Provas

Recentemente, uma empresa farmacêutica desenvolveu um novo inibidor da RNA polimerase do vírus causador da hepatite C. A estrutura desse medicamento, denominado Filibuvir, está ilustrada na figura I acima. A rota de síntese utilizada no processo industrial de preparação do Filibuvir se baseia na união dos compostos químicos A, B e C mostrados na figura II acima. A partir dessas informações e das figuras, julgue os itens de 109 a 113.
As substâncias químicas mostradas abaixo são insumos químicos utilizados na preparação do composto químico B mostrado na figura II.

Provas
Caderno Container