Foram encontradas 51 questões.
Quanto aos ensaios empregados para avaliar a eficiência de inibidores de corrosão, tem-se os ensaios de imersão no meio a ser estudado, baseados em perda de massa do material metálico. Assinale a alternativa correta.
Provas
Provas
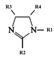
Um pesquisador deseja avaliar derivados da estrutura química abaixo indicada como inibidor de corrosão para meio de CO2 e H2S. O pesquisador precisa confirmar as estruturas químicas almejadas e pretende empregar técnicas de caracterização como a espectroscopia no infravermelho. Destaca-se que em cada caso, outras bandas aparecerão no espectro, porém apenas as bandas mencionadas em cada alternativa devem ser correlacionadas com a posição no espectro. Com base nessa situação, assinale a afirmativa incorreta quanto à correlação do tipo de banda e sua posição no espectro.

Provas
Provas
Quanto à espectroscopia no infravermelho, assinale a alternativa correta.
Provas
Choose the best alternative: “Brazilians’ sense of belief in institutions .”
Provas
Choose the best alternative: “People have changed to virtual political protests, ?”
Provas
Leia atentamente o texto a seguir e responda às questões de 17 a 24.
04.08.2024
‘We have reached the limit.’ Clash with Elon Musk prompts calls for social media controls in Brazil
London (CNN) — Brazil’s attorney general has called for social media platforms in the country to be regulated after Elon Musk threatened to disobey a court order banning certain accounts on X and lashed out against “aggressive censorship.”
In a post on X Sunday, Attorney General Jorge Messias wrote: “It is urgent to regulate social networks. We cannot live in a society in which billionaires domiciled abroad have control of social networks and put themselves in a position to violate the rule of law, failing to comply with court orders and threatening our authorities.”
In a statement, Brazil’s Supreme Court described Musk’s defiance as a “flagrant” obstruction of justice and said he should be investigated by the police. Supreme Court Justice Alexandre de Moraes announced Sunday that he would open an inquiry into the billionaire businessman who owns X.
The standoff is the latest clash between authorities around the world and Musk – a self-declared “free speech absolutist” who has relaxed X’s content moderation policies and reinstated a number of previously blocked accounts after buying the company, formerly known as Twitter, in 2022.
Orlando Silva, a Brazilian lawmaker aligned with the country’s left-wing government, said he would propose a “responsibilities regime for these digital platforms.” “We have reached the limit!” he posted on X, adding that Musk had disrespected the judiciary.
On Saturday, X’s global government affairs team posted that it had been “forced by court decisions to block certain popular accounts in Brazil” and threatened with “daily fines” for non-compliance.
“We do not know which posts are alleged to violate the law. We are prohibited from saying which court or judge issued the order, or on what grounds,” they wrote. They do not believe the orders are constitutional and will challenge them legally where possible, they added.
The Supreme Court had ordered that the accounts be blocked as part of its ongoing investigation into “digital militias,” which, among other things, is looking into the spread of misinformation and incitement of crime under the government of former far-right President Jair Bolsonaro.
Social media platforms have been widely viewed as a catalyst for riots in Brazil that took place on January 8 last year, when hundreds of protesters broke into federal government buildings in the capital Brasilia, in scenes reminiscent of the January 6, 2021, insurrection in the United States.
Musk suggested that Moraes was behind the ban, writing Sunday on X that the judge had “brazenly and repeatedly betrayed the constitution and people of Brazil. He should resign or be impeached.”
In a separate post Saturday, he called the court’s decision to block the accounts “aggressive censorship” that “appears to violate the law and will of the people of Brazil.” He said X would defy the court’s order and lift all restrictions.
“As a result, we will probably lose all revenue in Brazil and have to shut down our office there. But principles matter more than profit,” he noted.
X has faced criticism for accommodating government censorship demands in the past, with Musk saying the company has no choice but to comply. For example, it blocked some X accounts in Turkey at the behest of the government ahead of the country’s elections last year, while at the same time contesting the orders in court.
(Internet: <https://edition.cnn.com/2024/04/08/tech/elon-musk-brazil-investigation/index.html> )
In “As a result, we will probably lose all revenue in Brazil and have to shut down our office there. But principles matter more than profit”, it is not possible to say that Musk
Provas
Leia atentamente o texto a seguir e responda às questões de 17 a 24.
04.08.2024
‘We have reached the limit.’ Clash with Elon Musk prompts calls for social media controls in Brazil
London (CNN) — Brazil’s attorney general has called for social media platforms in the country to be regulated after Elon Musk threatened to disobey a court order banning certain accounts on X and lashed out against “aggressive censorship.”
In a post on X Sunday, Attorney General Jorge Messias wrote: “It is urgent to regulate social networks. We cannot live in a society in which billionaires domiciled abroad have control of social networks and put themselves in a position to violate the rule of law, failing to comply with court orders and threatening our authorities.”
In a statement, Brazil’s Supreme Court described Musk’s defiance as a “flagrant” obstruction of justice and said he should be investigated by the police. Supreme Court Justice Alexandre de Moraes announced Sunday that he would open an inquiry into the billionaire businessman who owns X.
The standoff is the latest clash between authorities around the world and Musk – a self-declared “free speech absolutist” who has relaxed X’s content moderation policies and reinstated a number of previously blocked accounts after buying the company, formerly known as Twitter, in 2022.
Orlando Silva, a Brazilian lawmaker aligned with the country’s left-wing government, said he would propose a “responsibilities regime for these digital platforms.” “We have reached the limit!” he posted on X, adding that Musk had disrespected the judiciary.
On Saturday, X’s global government affairs team posted that it had been “forced by court decisions to block certain popular accounts in Brazil” and threatened with “daily fines” for non-compliance.
“We do not know which posts are alleged to violate the law. We are prohibited from saying which court or judge issued the order, or on what grounds,” they wrote. They do not believe the orders are constitutional and will challenge them legally where possible, they added.
The Supreme Court had ordered that the accounts be blocked as part of its ongoing investigation into “digital militias,” which, among other things, is looking into the spread of misinformation and incitement of crime under the government of former far-right President Jair Bolsonaro.
Social media platforms have been widely viewed as a catalyst for riots in Brazil that took place on January 8 last year, when hundreds of protesters broke into federal government buildings in the capital Brasilia, in scenes reminiscent of the January 6, 2021, insurrection in the United States.
Musk suggested that Moraes was behind the ban, writing Sunday on X that the judge had “brazenly and repeatedly betrayed the constitution and people of Brazil. He should resign or be impeached.”
In a separate post Saturday, he called the court’s decision to block the accounts “aggressive censorship” that “appears to violate the law and will of the people of Brazil.” He said X would defy the court’s order and lift all restrictions.
“As a result, we will probably lose all revenue in Brazil and have to shut down our office there. But principles matter more than profit,” he noted.
X has faced criticism for accommodating government censorship demands in the past, with Musk saying the company has no choice but to comply. For example, it blocked some X accounts in Turkey at the behest of the government ahead of the country’s elections last year, while at the same time contesting the orders in court.
(Internet: <https://edition.cnn.com/2024/04/08/tech/elon-musk-brazil-investigation/index.html> )
From the sentence “Social media platforms have been widely viewed as a catalyst for riots in Brazil that took place on January 8 last year, when hundreds of protesters broke into federal government buildings in the capital Brasilia, in scenes reminiscent of the January 6, 2021, insurrection in the United States”, it is possible to say that
Provas
Leia atentamente o texto a seguir e responda às questões de 17 a 24.
04.08.2024
‘We have reached the limit.’ Clash with Elon Musk prompts calls for social media controls in Brazil
London (CNN) — Brazil’s attorney general has called for social media platforms in the country to be regulated after Elon Musk threatened to disobey a court order banning certain accounts on X and lashed out against “aggressive censorship.”
In a post on X Sunday, Attorney General Jorge Messias wrote: “It is urgent to regulate social networks. We cannot live in a society in which billionaires domiciled abroad have control of social networks and put themselves in a position to violate the rule of law, failing to comply with court orders and threatening our authorities.”
In a statement, Brazil’s Supreme Court described Musk’s defiance as a “flagrant” obstruction of justice and said he should be investigated by the police. Supreme Court Justice Alexandre de Moraes announced Sunday that he would open an inquiry into the billionaire businessman who owns X.
The standoff is the latest clash between authorities around the world and Musk – a self-declared “free speech absolutist” who has relaxed X’s content moderation policies and reinstated a number of previously blocked accounts after buying the company, formerly known as Twitter, in 2022.
Orlando Silva, a Brazilian lawmaker aligned with the country’s left-wing government, said he would propose a “responsibilities regime for these digital platforms.” “We have reached the limit!” he posted on X, adding that Musk had disrespected the judiciary.
On Saturday, X’s global government affairs team posted that it had been “forced by court decisions to block certain popular accounts in Brazil” and threatened with “daily fines” for non-compliance.
“We do not know which posts are alleged to violate the law. We are prohibited from saying which court or judge issued the order, or on what grounds,” they wrote. They do not believe the orders are constitutional and will challenge them legally where possible, they added.
The Supreme Court had ordered that the accounts be blocked as part of its ongoing investigation into “digital militias,” which, among other things, is looking into the spread of misinformation and incitement of crime under the government of former far-right President Jair Bolsonaro.
Social media platforms have been widely viewed as a catalyst for riots in Brazil that took place on January 8 last year, when hundreds of protesters broke into federal government buildings in the capital Brasilia, in scenes reminiscent of the January 6, 2021, insurrection in the United States.
Musk suggested that Moraes was behind the ban, writing Sunday on X that the judge had “brazenly and repeatedly betrayed the constitution and people of Brazil. He should resign or be impeached.”
In a separate post Saturday, he called the court’s decision to block the accounts “aggressive censorship” that “appears to violate the law and will of the people of Brazil.” He said X would defy the court’s order and lift all restrictions.
“As a result, we will probably lose all revenue in Brazil and have to shut down our office there. But principles matter more than profit,” he noted.
X has faced criticism for accommodating government censorship demands in the past, with Musk saying the company has no choice but to comply. For example, it blocked some X accounts in Turkey at the behest of the government ahead of the country’s elections last year, while at the same time contesting the orders in court.
(Internet: <https://edition.cnn.com/2024/04/08/tech/elon-musk-brazil-investigation/index.html> )
Choose the alternative that better substitutes the underlined preposition in “On Saturday, X’s global government affairs team posted that it had been ‘forced by court decisions to block certain popular accounts in Brazil’ and threatened with ‘daily fines’ for non-compliance”.
Provas
Caderno Container