Foram encontradas 498 questões.
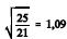
Considere que um capital de R$ 20.000,00 tenha sido aplicado em um fundo de investimentos, pelo período de um ano, com capitalização mensal e a determinada taxa de juros compostos. Considere, ainda, que, ao final dos 12 meses, o montante tenha sido de R$ 22.540,00. Nessa situação, tomando-se 1,01 como valor aproximado para
, julgue os itens que se seguem.
A taxa efetiva anual dessa aplicação foi superior a 12%.
Provas
Considere que um capital de R$ 20.000,00 tenha sido aplicado em um fundo de investimentos, pelo período de um ano, com capitalização mensal e a determinada taxa de juros compostos. Considere, ainda, que, ao final dos 12 meses, o montante tenha sido de R$ 22.540,00. Nessa situação, tomando-se 1,01 como valor aproximado para
, julgue os itens que se seguem.
A taxa nominal anual dessa aplicação foi inferior a 11,5%.
Provas
Considere a situação em que Renato tenha descontado uma promissória de R$ 2.000,00 que venceria em 2 meses, em um banco que pratica a taxa de desconto comercial simples (por fora) de 8% ao mês. Supondo que
, julgue os itens subseqüentes, relativos a essa situação.
O valor cobrado pelo banco para descontar o título corresponde à prática de uma taxa mensal de juros compostos superior a 8,8%.
Provas
Considere a situação em que Renato tenha descontado uma promissória de R$ 2.000,00 que venceria em 2 meses, em um banco que pratica a taxa de desconto comercial simples (por fora) de 8% ao mês. Supondo que
, julgue os itens subseqüentes, relativos a essa situação.
Pelo título descontado, Renato recebeu menos de R$ 1.600,00.
Provas
e 1,06 como valor aproximado para 1,0154 , e desconsiderando taxas e impostos, julgue os itens seguintes.Se o fundo de investimentos pagou juros compostos de 1,5% ao mês, então o montante ao final do 4.º mês superou R$ 5.200,00.
Provas
e 1,06 como valor aproximado para 1,0154 , e desconsiderando taxas e impostos, julgue os itens seguintes.Se o montante obtido ao final dos 4 meses de aplicação tiver sido de R$ 5.150,00, então o montante obtido ao final do primeiro mês de aplicação era inferior a R$ 5.030,00.
Provas
Um grupo de assistentes sociais foi contratado para levantar os dados necessários à elaboração de uma pesquisa socioeconômica. Sabe-se que 5 desses assistentes sociais, em 3 horas de trabalho, são capazes de coletar 45% dos dados necessários e que todos os membros do grupo trabalham com a mesma eficiência. Com base nessas informações, julgue os itens a seguir.
Para coletar todos os dados necessários à pesquisa, 8 membros do grupo precisariam trabalhar menos de 4 horas.
Provas
Um grupo de assistentes sociais foi contratado para levantar os dados necessários à elaboração de uma pesquisa socioeconômica. Sabe-se que 5 desses assistentes sociais, em 3 horas de trabalho, são capazes de coletar 45% dos dados necessários e que todos os membros do grupo trabalham com a mesma eficiência. Com base nessas informações, julgue os itens a seguir.
Em 4 horas de trabalho, 7 membros do grupo são capazes de coletar mais de 80% dos dados necessários à pesquisa.
Provas
Um grupo de assistentes sociais foi contratado para levantar os dados necessários à elaboração de uma pesquisa socioeconômica. Sabe-se que 5 desses assistentes sociais, em 3 horas de trabalho, são capazes de coletar 45% dos dados necessários e que todos os membros do grupo trabalham com a mesma eficiência. Com base nessas informações, julgue os itens a seguir.
A colaboração de 6 membros do grupo permitiria, em duas horas e meia de trabalho, a coleta de 45% dos dados necessários à pesquisa.
Provas

A partir dos dados apresentados, julgue o item abaixo.
É correto afirmar que o resultado orçamentário do exercício foi deficitário.
Provas
Caderno Container