Magna Concursos

Foram encontradas 1.715 questões.

152310 Ano: 2018
Disciplina: Engenharia Cartográfica
Banca: CESPE / CEBRASPE
Orgão: IPHAN
Provas:
Em países tropicais, o uso de imagens de radar tem sido considerado de importância cada vez maior no monitoramento ambiental, como, por exemplo, no monitoramento de desmatamento da Amazônia e da dinâmica espacial e temporal de inundação no pantanal. Julgue o item a seguir, relativos a sistemas imageadores de radar.

Os sensores de radar operam na faixa espectral de micro-ondas, com comprimentos de onda da ordem de centímetros.
 

Provas

Questão presente nas seguintes provas
152309 Ano: 2018
Disciplina: Engenharia Cartográfica
Banca: CESPE / CEBRASPE
Orgão: IPHAN
Provas:
Em países tropicais, o uso de imagens de radar tem sido considerado de importância cada vez maior no monitoramento ambiental, como, por exemplo, no monitoramento de desmatamento da Amazônia e da dinâmica espacial e temporal de inundação no pantanal. Julgue o item a seguir, relativos a sistemas imageadores de radar.

Sensores de radar obrigatoriamente operam com visada vertical.
 

Provas

Questão presente nas seguintes provas
152308 Ano: 2018
Disciplina: Engenharia Cartográfica
Banca: CESPE / CEBRASPE
Orgão: IPHAN
Provas:
Dados geográficos que são armazenados em programas de sistemas de informações geográficas na forma de pontos, linhas e polígonos podem apresentar diversos erros de topologia, que devem ser corrigidos. Julgue o item seguinte, acerca de correção topológica.
A regra de correção topológica “não deve ter duplicidades” é aplicável somente para linhas e polígonos.
 

Provas

Questão presente nas seguintes provas
152307 Ano: 2018
Disciplina: Engenharia Cartográfica
Banca: CESPE / CEBRASPE
Orgão: IPHAN
Provas:
Enunciado 152307-1
Na figura precedente, em que o eixo vertical representa a resolução temporal em dias e o eixo horizontal a resolução espacial em metros, os pontos A, B, C e D representam quatro sistemas sensores que operam com diferentes resoluções espaciais e temporais. Considerando essa figura, julgue o item a seguir.
O sensor OLI (Operational Land Imager) a bordo do satélite Landsat-8 é tipicamente representado pela letra B.
 

Provas

Questão presente nas seguintes provas
152306 Ano: 2018
Disciplina: Engenharia Cartográfica
Banca: CESPE / CEBRASPE
Orgão: IPHAN
Provas:
Enunciado 152306-1

O armazenamento de dados vetoriais em programas de sistema de informações geográficas (SIG) utiliza a arquitetura denominada arco-nó. Com base na figura apresentada, julgue o item que segue, acerca de conceitos básicos de SIG.

Nos modelos vetoriais e matriciais de dados de um SIG, os elementos espaciais (como rios e modelos digitais de terreno) são representados por pares de coordenadas cartesianas XY e pelos seus atributos (dados não espaciais).

 

Provas

Questão presente nas seguintes provas
152305 Ano: 2018
Disciplina: Engenharia Cartográfica
Banca: CESPE / CEBRASPE
Orgão: IPHAN
Provas:
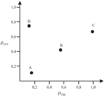
Enunciado 152305-1

Na figura precedente, os pontos A, B, C e D representam quatro alvos com diferentes valores de reflectância nas faixas espectrais do vermelho (ρVM), representadas no eixo horizontal, e do infravermelho próximo (ρIVP), representadas no eixo vertical.

Com base nessa figura, julgue o item seguinte.

A letra C, na figura, é a melhor representação de um alvo com 100% de cobertura vegetal verde.

 

Provas

Questão presente nas seguintes provas
152304 Ano: 2018
Disciplina: Engenharia Cartográfica
Banca: CESPE / CEBRASPE
Orgão: IPHAN
Provas:

Dados geográficos que são armazenados em programas de sistemas de informações geográficas na forma de pontos, linhas e polígonos podem apresentar diversos erros de topologia, que devem ser corrigidos. Julgue o item seguinte, acerca de correção topológica.

A regra de correção topológica “não pode ter pseudo-nós” é aplicável para pontos, linhas e polígonos.

 

Provas

Questão presente nas seguintes provas
152303 Ano: 2018
Disciplina: Engenharia Cartográfica
Banca: CESPE / CEBRASPE
Orgão: IPHAN
Provas:
Enunciado 152303-1

Na figura precedente, os pontos A, B, C e D representam quatro alvos com diferentes valores de reflectância nas faixas espectrais do vermelho (ρVM), representadas no eixo horizontal, e do infravermelho próximo (ρIVP), representadas no eixo vertical.

Com base nessa figura, julgue o item seguinte.

A letra A, na figura, é a melhor representação de um alvo com 100% de solo exposto e rico em matéria orgânica.

 

Provas

Questão presente nas seguintes provas
152302 Ano: 2018
Disciplina: Engenharia Cartográfica
Banca: CESPE / CEBRASPE
Orgão: IPHAN
Provas:
Uma das etapas de elaboração de mapas temáticos é a da estimativa de erro de mapeamento. A esse respeito, julgue o item que segue.
Erro de omissão ocorre quando um polígono mapeado como determinada classe temática não se acha presente no terreno.
 

Provas

Questão presente nas seguintes provas
152301 Ano: 2018
Disciplina: Engenharia Cartográfica
Banca: CESPE / CEBRASPE
Orgão: IPHAN
Provas:
Imagens multiespectrais são tipicamente obtidas por sensores que operam com quatro a sete bandas espectrais nas faixas do visível e do infravermelho. Com relação a sensores multiespectrais, julgue o item subsequente.
Landsat-8 e Sentinel-2A são exemplos de satélites que obtêm imagens multiespectrais.
 

Provas

Questão presente nas seguintes provas