Foram encontradas 421 questões.
Assinale a opção que indica corretamente o resultado da soma dos quadrados dos resíduos, considerando:
y = 74; 59; 26; 26; 74; 2; 23; 95; 45; 18; 9; 5; 7; 18; 37; 57; 93; 15; 99; 78
= 46; 4; 60; 4; 91; 49; 9; 11; 63; 94; 77; 53; 49; 79; 65;
20; 82; 12; 4; 67
Provas
Marque a alternativa que corresponde corretamente
à representação de uma distribuição T-Student, com
parâmetro
, representando os graus de liberdade,
considerando
.
Provas
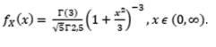
Assinale a opção a seguir que representa corretamente a constante C para que a função dada a seguir seja uma função de densidade de probabilidade.

Provas

Provas
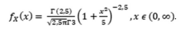
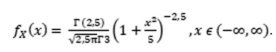
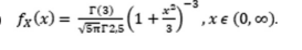
Assinale a alternativa correta sobre a densidade dada a seguir.

Provas
Supondo uma distribuição de
com
parâmetros
a alternativa que
representa corretamente a distribuição de Weibull
com estes parâmetros é dada por
Provas
Sobre um modelo de regressão linear simples, representado como:

pode ser afirmado que:
Provas
Dados

A alternativa que indica corretamente o resultado da soma dos quadrados dos resíduos é dada por:
Provas
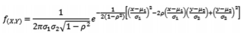
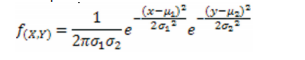
Considere uma distribuição Normal Bivariada, representada a seguir:

Onde,

Com relação a essa distribuição, pode-se afirmar que:
Provas
Considerando X ~ Poisson (0,2), e sabendo que e -0,2 é 0,82, aproximadamente, indique a alternativa correta com relação ao seguinte cálculo:

Provas
Caderno Container