Foram encontradas 97 questões.
Analise os itens a seguir e em seguida assinale a alternativa CORRETA:
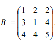
I. Efetuando a multiplicação do determinante da matriz transposta da matriz
pelo determinante
da matriz transposta da matriz
, obtemos um valor igual a -98.
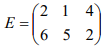
II. Efetuando a multiplicação do determinante da matriz oposta da matriz
pelo determinante da
matriz transposta da matriz
obtemos como resultado um valor igual a -45.
III. Multiplicando a matriz oposta da matriz
pela matriz transposta da matriz
obtemos uma matriz igual a:
Provas
Analise os itens abaixo e assinale a alternativa CORRETA:
I. Os pontos A(4,11), B(7,12) e C(-x,10) não serão colineares se o valor de x for igual a -5.
II. Para que os pontos A(4,6), B(x,4) e C(1,3) estejam alinhados, o valor de x deve ser igual a 2.
III. Os pontos A(6,10), B(4,8) e C(8,11) são colineares.
Provas
Neurocientista é alvo de mansplaining citando artigo que ela mesma escreveu
Enquanto palestrava, a especialista foi interrompida por homem que sugeriu a leitura de um estudo sobre o assunto – que ela mesma tinha escrito
REDAÇÃO GALILEU
05 NOV 2019
A neurocientista Dra. Tasha Stanton contou no Twitter um episódio de machismo que sofreu durante a Conferência Australiana da Associação de Fisioterapia, que aconteceu no fim de outubro. Ela foi vítima de mansplaining com sua própria pesquisa científica.
Mansplaining é um termo em inglês usado para descrever o comportamento de alguns homens que assumem que uma mulher não conhece determinado assunto e insiste em explicá-lo, subestimando os conhecimentos da mulher.
O caso de Stanton é um exemplo de mansplaining: enquanto ela palestrava, um cientista homem a interrompeu no meio do discurso e sugeriu que ela lesse determinado artigo para "entender melhor" o assunto. O artigo que ele indicou, entretanto, tinha sido escrito pela própria palestrante.
"Espere aí por um segundo, amigo. Sou Stanton. Eu sou a autora do artigo que você acabou de mencionar'", ela disse naquele momento da palestra. Ela e outros cientistas da conferência riram da situação, mas ela ficou desconfortável com o acontecido.
"Só para ficar claro: eu nunca esperaria que as pessoas soubessem como sou fisicamente", ela escreveu posteriormente
no Twitter. "Disse que era um grande elogio que ele recomendasse meu trabalho, que estava feliz por ele ter gostado e
achado útil, mas que no futuro ele deveria ter cuidado para não assumir que outras pessoas não sabem as coisas."
Stanton é professora na Universidade do Sul da Austrália (UniSA), já publicou mais de 60 artigos em periódicos científicos
e foi palestrante em mais de 50 conferências. Ela completou seu doutorado na Universidade de Sydney em 2010 e
atualmente é bolsista do Conselho Nacional de Pesquisa em Saúde e Medicina (NHMRC) da Austrália.
Sua pesquisa tem como objetivo entender por que as pessoas sentem dor e por que, às vezes, a dor não desaparece. Seu
trabalho abrange tanto a dor experimental quanto a clínica e, ela analisa como a educação e a atividade física desempenham
papel na recuperação de dores crônicas.
Disponível em: https://revistagalileu.globo.com/Ciencia/noticia/2019/11/neurocientista-e-alvo-de-mansplaining-citandoartigo-que-ela-mesma-escreveu.html. Acesso em 05 de novembro de 2019.
Provas
Cristais
Mais claro e fino do que as finas pratas
O som da tua voz deliciava...
Na dolência velada das sonatas
Como um perfume a tudo perfumava.
Era um som feito luz, eram volatas
Em lânguida espiral que iluminava,
Brancas sonoridades de cascatas...
Tanta harmonia melancolizava.
Filtros sutis de melodias, de ondas
De cantos volutuosos como rondas
De silfos leves, sensuais, lascivos...
Como que anseios invisíveis, mudos,
Da brancura das sedas e veludos,
Das virgindades, dos pudores vivos.
(CRUZ E SOUSA. Obra completa. Rio de Janeiro: Nova Aguilar, 1995. p. 86)
Dolência – mágoa, dor, sofrimento
Lascivo – sensual
Silfo – na mitologia céltica, é o “gênio do ar”
Sonata – peça musical
Volata – série de sons executados com rapidez
Analise as proposições abaixo:
I. O texto é um soneto por apresentar uma estrutura fixa composta de dois quartetos e dois tercetos.
II. No poema predominam-se as sensações visuais, apesar de seu assunto principal ser a voz de uma pessoa, provavelmente uma voz feminina.
III. O texto faz parte do movimento parnasiano, movimento literário essencialmente poético, marcado pela teoria da “arte pela arte”, com versos rebuscados, onde a palavra é o objeto do poema.
Está CORRETO o que se afirma em:
Provas
Neurocientista é alvo de mansplaining citando artigo que ela mesma escreveu
Enquanto palestrava, a especialista foi interrompida por homem que sugeriu a leitura de um estudo sobre o assunto – que ela mesma tinha escrito
REDAÇÃO GALILEU
05 NOV 2019
A neurocientista Dra. Tasha Stanton contou no Twitter um episódio de machismo que sofreu durante a Conferência Australiana da Associação de Fisioterapia, que aconteceu no fim de outubro. Ela foi vítima de mansplaining com sua própria pesquisa científica.
Mansplaining é um termo em inglês usado para descrever o comportamento de alguns homens que assumem que uma mulher não conhece determinado assunto e insiste em explicá-lo, subestimando os conhecimentos da mulher.
O caso de Stanton é um exemplo de mansplaining: enquanto ela palestrava, um cientista homem a interrompeu no meio do discurso e sugeriu que ela lesse determinado artigo para "entender melhor" o assunto. O artigo que ele indicou, entretanto, tinha sido escrito pela própria palestrante.
"Espere aí por um segundo, amigo. Sou Stanton. Eu sou a autora do artigo que você acabou de mencionar'", ela disse naquele momento da palestra. Ela e outros cientistas da conferência riram da situação, mas ela ficou desconfortável com o acontecido.
"Só para ficar claro: eu nunca esperaria que as pessoas soubessem como sou fisicamente", ela escreveu posteriormente
no Twitter. "Disse que era um grande elogio que ele recomendasse meu trabalho, que estava feliz por ele ter gostado e
achado útil, mas que no futuro ele deveria ter cuidado para não assumir que outras pessoas não sabem as coisas."
Stanton é professora na Universidade do Sul da Austrália (UniSA), já publicou mais de 60 artigos em periódicos científicos
e foi palestrante em mais de 50 conferências. Ela completou seu doutorado na Universidade de Sydney em 2010 e
atualmente é bolsista do Conselho Nacional de Pesquisa em Saúde e Medicina (NHMRC) da Austrália.
Sua pesquisa tem como objetivo entender por que as pessoas sentem dor e por que, às vezes, a dor não desaparece. Seu
trabalho abrange tanto a dor experimental quanto a clínica e, ela analisa como a educação e a atividade física desempenham
papel na recuperação de dores crônicas.
Disponível em: https://revistagalileu.globo.com/Ciencia/noticia/2019/11/neurocientista-e-alvo-de-mansplaining-citandoartigo-que-ela-mesma-escreveu.html. Acesso em 05 de novembro de 2019.
Provas
- OrtografiaPontuaçãoAspas
- OrtografiaPontuaçãoDois-pontos
- OrtografiaPontuaçãoPonto e Vírgula
- OrtografiaPontuaçãoTravessão
- OrtografiaPontuaçãoVírgula
Neurocientista é alvo de mansplaining citando artigo que ela mesma escreveu
Enquanto palestrava, a especialista foi interrompida por homem que sugeriu a leitura de um estudo sobre o assunto – que ela mesma tinha escrito
REDAÇÃO GALILEU
05 NOV 2019
A neurocientista Dra. Tasha Stanton contou no Twitter um episódio de machismo que sofreu durante a Conferência Australiana da Associação de Fisioterapia, que aconteceu no fim de outubro. Ela foi vítima de mansplaining com sua própria pesquisa científica.
Mansplaining é um termo em inglês usado para descrever o comportamento de alguns homens que assumem que uma mulher não conhece determinado assunto e insiste em explicá-lo, subestimando os conhecimentos da mulher.
O caso de Stanton é um exemplo de mansplaining: enquanto ela palestrava, um cientista homem a interrompeu no meio do discurso e sugeriu que ela lesse determinado artigo para "entender melhor" o assunto. O artigo que ele indicou, entretanto, tinha sido escrito pela própria palestrante.
"Espere aí por um segundo, amigo. Sou Stanton. Eu sou a autora do artigo que você acabou de mencionar'", ela disse naquele momento da palestra. Ela e outros cientistas da conferência riram da situação, mas ela ficou desconfortável com o acontecido.
"Só para ficar claro: eu nunca esperaria que as pessoas soubessem como sou fisicamente", ela escreveu posteriormente
no Twitter. "Disse que era um grande elogio que ele recomendasse meu trabalho, que estava feliz por ele ter gostado e
achado útil, mas que no futuro ele deveria ter cuidado para não assumir que outras pessoas não sabem as coisas."
Stanton é professora na Universidade do Sul da Austrália (UniSA), já publicou mais de 60 artigos em periódicos científicos
e foi palestrante em mais de 50 conferências. Ela completou seu doutorado na Universidade de Sydney em 2010 e
atualmente é bolsista do Conselho Nacional de Pesquisa em Saúde e Medicina (NHMRC) da Austrália.
Sua pesquisa tem como objetivo entender por que as pessoas sentem dor e por que, às vezes, a dor não desaparece. Seu
trabalho abrange tanto a dor experimental quanto a clínica e, ela analisa como a educação e a atividade física desempenham
papel na recuperação de dores crônicas.
Disponível em: https://revistagalileu.globo.com/Ciencia/noticia/2019/11/neurocientista-e-alvo-de-mansplaining-citandoartigo-que-ela-mesma-escreveu.html. Acesso em 05 de novembro de 2019.
Provas
Cristais
Mais claro e fino do que as finas pratas
O som da tua voz deliciava...
Na dolência velada das sonatas
Como um perfume a tudo perfumava.
Era um som feito luz, eram volatas
Em lânguida espiral que iluminava,
Brancas sonoridades de cascatas...
Tanta harmonia melancolizava.
Filtros sutis de melodias, de ondas
De cantos volutuosos como rondas
De silfos leves, sensuais, lascivos...
Como que anseios invisíveis, mudos,
Da brancura das sedas e veludos,
Das virgindades, dos pudores vivos.
(CRUZ E SOUSA. Obra completa. Rio de Janeiro: Nova Aguilar, 1995. p. 86)
Dolência – mágoa, dor, sofrimento
Lascivo – sensual
Silfo – na mitologia céltica, é o “gênio do ar”
Sonata – peça musical
Volata – série de sons executados com rapidez
Leia novamente os versos:
I. “Mais claro e fino do que as finas pratas O som da tua voz deliciava...”
II. “Era um som feito luz, eram volatas...”
As figuras de linguagem presentes nos versos são, respectivamente:
Provas
Disciplina: Atualidades e Conhecimentos Gerais
Banca: FAFIPA
Orgão: IPREV Nova Esperança-PR
Em relação aos fatos importantes ocorridos no Brasil nos últimos meses, considere os itens a seguir:
I. O líder indígena Guajajara foi assassinado a tiro em confronto com madeireiros no Maranhão.
II. Ágatha Félix, de doze anos, foi vítima de bala perdida em operação da Polícia Militar no Complexo do Alemão em janeiro de 2019.
III. Sobre o leilão do pré-sal em novembro de 2019, das 4 áreas oferecidas na Rodada de Licitações do Excedente da Cessão Onerosa, duas foram arrematadas e duas não receberam propostas.
IV. Pesquisadores da USP em Ribeirão Preto puseram em ação um tratamento inovador contra o câncer, feito com células reprogramadas do próprio paciente e testado pela primeira vez na América Latina, obtendo melhora clínica evidente.
Considerando as proposições acima, é CORRETO afirmar que:
Provas
Disciplina: Atualidades e Conhecimentos Gerais
Banca: FAFIPA
Orgão: IPREV Nova Esperança-PR
- Arte e Cultura
- Questões SociaisMovimentos Sociais, Discriminação e Desigualdade
- Sociedade e Comportamento
Provas
Disciplina: Atualidades e Conhecimentos Gerais
Banca: FAFIPA
Orgão: IPREV Nova Esperança-PR
Provas
Caderno Container