Foram encontradas 100 questões.
Considere as reações representadas pelas seguintes equações químicas balanceadas:
I. !$ C_{10}H_8(s) + 12O_2(g) ightarrow 10CO_2(g) + 4H_2O(g) !$.
lI. !$ C_{10}H_8(s) + 9/2O_2(g) → C_6H_4(COOH)_2(s) + 2CO_2(g) + H_2O(g) !$.
III. !$ C_6H_{12}O_6(s) + 6O_2(g) → 6CO_2(g) + 6H_2O(g) !$.
IV. !$ C_2H_5OH(l) + O_2(g) → 2C(s) + 3H_2O(g) !$.
Das reações representadas pelas equações acima, são consideradas reações de combustão
Provas
O !$ egin{matrix} 214 \ 82 end{matrix}Pb !$ desintegra-se por emissão de partículas Beta, transformando-se em !$ egin{matrix} 214 \ 83 end{matrix}Bi !$ que, por sua vez, se desintegra também por emissão de partículas Beta, transformando-se em !$ egin{matrix} 214 \ 84 end{matrix}Po !$. A figura abaixo mostra como varia, com o tempo, o número de átomos, em porcentagem de partículas, envolvidos nestes processos de desintegração. Admita ln 2 = 0,69. Considere que, para estes processos, sejam feitas as seguintes afirmações:

I. O tempo de meia-vida do chumbo é de aproximadamente 27 min.
II. A constante de velocidade da desintegração do chumbo é de aproximadamente 3 x 10 !$ ^{-2} !$ min !$ ^{-1} !$.
III. A velocidade de formação de polônio é igual à velocidade de desintegração do bismuto.
IV. O tempo de meia-vida do bismuto é maior que o do chumbo.
V. A constante de velocidade de decaimento do bismuto é de aproximadamente 1 x 10 !$ ^{-2} !$ min !$ ^{-1} !$.
Das afirmações acima, estão corretas
Provas
Qual das opções a seguir apresenta o gráfico que mostra, esquematicamente, a variação da condutividade elétrica de um metal sólido com a temperatura?
Provas
Qual das opções abaixo apresenta o material com maior concentração de carbono?
Provas
A figura abaixo representa o resultado de dois experimentos diferentes (I) e (II) realizados para uma mesma reação química genérica (reagentes → produtos). As áreas hachuradas sob as curvas representam o número de partículas reagentes com energia cinética igual ou maior que a energia de ativação da reação ( !$ E_{at} !$).

Baseado nas informações apresentadas nesta figura, é correto afirmar que
Provas
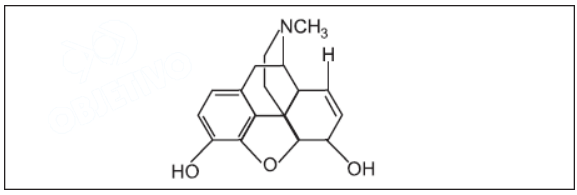
A estrutura molecular da morfina está representada abaixo. Assinale a opção que apresenta dois dos grupos funcionais presentes nesta substância.

Provas
Qual das opções abaixo apresenta a comparação ERRADA relativa aos raios de átomos e de íons?
Provas
A figura abaixo mostra como o valor do logaritmo da constante de velocidade (k) da reação representada pela equação química A !$ xrightarrow{ k } !$ R varia com o recíproco da temperatura.
Considere que, em relação às informações mostradas na figura, sejam feitas as afirmações seguintes:

I. O trecho a – b da curva mostra a variação de ln k da reação direta (A → R) com o recíproco da temperatura, enquanto o trecho b – c mostra como varia ln k da reação inversa (R → A) com o recíproco da temperatura.
II. Para temperaturas menores que !$ T_b !$, o mecanismo controlador da reação em questão é diferente daquele para temperaturas maiores que !$ T_b !$.
III. A energia de ativação da reação no trecho a – b é menor que a no trecho b – c.
IV. A energia de ativação da reação direta (A → R) é menor que a da reação inversa (R → A) .
Das afirmações acima, está(ão) correta(s)
Provas
Considere as reações representadas pelas seguintes equações químicas balanceadas:
a) !$ C_2H_5OH(l) + O_2(g) → 2C(s) + 3H_2O(g); ΔH_I(T); ΔE_I(T) !$,
b) !$ C_2H_5OH(l) + 2O_2(g) → 2CO(g) + 3H_2O(l); ΔH_{II}(T); ΔE_{II}(T) !$,
sendo !$ ΔH(T) !$ e !$ ΔE(T) !$, respectivamente, a variação da entalpia e da energia interna do sistema na temperatura T. Assuma que as reações acima são realizadas sob pressão constante, na temperatura T, e que a temperatura dos reagentes é igual à dos produtos.
Considere que, para as reações representadas pelas equações acima, sejam feitas as seguintes comparações:
I.!$ |ΔE_I| = |ΔE_{II}| !$.
II. !$ |ΔH_I| = |ΔH_{II}| !$.
III.!$ |ΔH_{II}| > |ΔE_{II}| !$.
IV. !$ |ΔH_I| < |ΔE_I| !$.
Das comparações acima, está(ão) CORRETA(S)
Provas
Considere os dois eletrodos (I e II) seguintes e seus respectivos potenciais na escala do eletrodo de hidrogênio !$ (E^0) !$ e nas condições-padrão:
I. !$ 2F^– (aq) ightleftarrows 2e^– (CM) + F_ 2 (g) !$ ; !$ E^0_I = 2,87 V !$.
II. !$ Mn^2+ (aq) + 4H_2O(l) ightleftarrows 5e^– (CM) + 8H^+ (aq) + MnO_4 ^– (aq) !$; !$ E^0_{II} = 1,51V !$.
A força eletromotriz de um elemento galvânico construído com os dois eletrodos acima é de
Provas
Caderno Container