Foram encontradas 50 questões.
A expressão \( P_{crit} = \dfrac {\pi ^2 E.J_{min}} {l_0} \) é conhecida como Equação de Euler para a flambagem. Em relação ao tema, considere as seguintes afirmativas:
1. Quanto maior for o chamado índice de esbeltez \( \lambda \), maior resistência à flambagem terá a peça.
2. \( \lambda_0 \) é o índice de esbeltez correspondente ao valor da tensão de compressão no limite de proporcionalidade do material \( (\sigma_{cp}) \), e a equação de Euler é aplicável quando \( \lambda \) for menor que \( \lambda_0 \) .
3. Sendo o comprimento de flambagem \( l_0 \) dependente do comprimento real da barra \( (l) \) e do tipo de seus vínculos externos, então, quando a barra tem suas extremidades articuladas, \( l_0 = l \).
Assinale a alternativa correta.
Provas
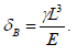
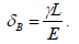
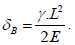
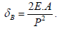
Em uma barra de aço pendurada, de comprimento L , a deformação axial é expressa por
, em que P é a carga axial, que nesse caso é devida exclusivamente ao peso próprio da barra, A é a área constante da seção transversal e E é o Módulo de Young. Considerando que o peso específico do material seja \( \gamma \), então a deformação da barra será:
Provas

Uma força F = 5.105 N será aplicada na estrutura estática representada na figura acima. A tensão de cisalhamento adotada para o dimensionamento do pino é de 65 MPa. Com base nesses dados, para que o pino seja capaz de suportar os esforços de cisalhamento, o seu diâmetro deverá ser de, aproximadamente:
Provas
Trabalho de deformação é o trabalho mecânico desenvolvido por forças externas capazes de produzir um determinado estado de deformação num corpo sólido. Sobre o tema, considere as seguintes afirmativas:
1. Elasticidade é a propriedade que têm os corpos de armazenar, sob forma de energia potencial interna, o trabalho mecânico de deformação provocado pela solicitação externa, e devolver essa energia, total ou parcialmente, sob forma de trabalho mecânico, quando desaparece a causa da deformação.
2. Se a energia potencial interna fosse devolvida inteiramente sob forma de trabalho mecânico, então seria correto afirmar que o corpo que sofreu a deformação é perfeitamente plástico.
3. Dentro dos limites de aplicação da Lei de Hooke, quanto maior for o módulo de elasticidade longitudinal (módulo de Young) do material sob a ação de um determinado esforço de tração, menor será sua deformação específica.
Assinale a alternativa correta.
Provas
Em relação a uma superfície plana de área S referida a dois eixos coordenados x e y, a somatória integral dos produtos dos elementos de área dS pelos quadrados das suas distâncias ao eixo considerado é a definição de:
Provas
A Resistência dos Materiais é o capítulo da mecânica dos corpos sólidos, no qual se consideram as deformações sofridas pelos referidos corpos por efeito de forças que agem sobre eles. Sobre a Resistência dos Materiais, considere as seguintes afirmativas:
1. Considerado o momento de equilíbrio, pode-se enunciar o seguinte princípio fundamental: Toda parte de um corpo, seja qual for a maneira pela qual é limitada, pode ser encarada como um corpo independente, ao qual são aplicáveis os teoremas gerais da Mecânica.
2. Considerando uma área elementar dS em um ponto de uma superfície em que age uma força elementar de tração dP, a tensão de tração \( \sigma \) no ponto considerado é definida pela expressão \( \sigma = \dfrac {dS} {dP} \).
3. O estado triplo de tensões ocorre quando a tensão principal existente em uma área elementar dS da superfície normal ao eixo da aplicação da força é a resultante das tensões normais, tangenciais e oblíquas existentes na área elementar dS .
Assinale a alternativa correta.
Provas
Numere a coluna da direita de acordo com a coluna da esquerda, relacionando os diferentes tipos de risco com as cores utilizadas para identificá-los em mapas de risco.
| 1. Riscos ergonômicos. | ( ) Marrom. |
| 2. Riscos biológicos. | ( ) Azul. |
| 3. Riscos acidentais. |
( ) Amarelo. |
| 4. Riscos químicos. | ( ) Vermelho. |
Assinale a alternativa que apresenta a numeração correta da coluna da direita, de cima para baixo.
Provas
No desenvolvimento de um mapa de riscos ambientais, condições inadequadas de ruídos, vibrações, radiações ionizantes e não ionizantes, temperaturas, pressões e umidade são consideradas riscos:
Provas
Com relação à ventilação geral diluidora (VGD), identifique como verdadeiras (V) ou falsas (F) as seguintes afirmativas:
( ) O sistema no qual um ventilador sopra o ar novo para dentro do recinto de trabalho, tornando a pressão do ar no interior maior que a pressão do ar na vizinhança desse recinto, é chamado sistema por insuflamento.
( ) A equação da diluição é estabelecida desenvolvendo-se um balanço de massa para o contaminante, para um intervalo de tempo, considerando-se como volume de controle o próprio ambiente a ser ventilado.
( ) O sistema por exaustão, apesar de apresentar maior facilidade de controle da pureza do ar, não pode ser usado na VGD, porque a equação da diluição não é aplicável a esse sistema.
( ) A equação da diluição pode ser escrita na forma semântica da seguinte maneira: [contaminante que entra] + [contaminante gerado] – [contaminante retido em ECP] – [contaminante que sai] = [variação do contaminante].
Assinale a alternativa que apresenta a sequência correta, de cima para baixo.
Provas
Ventilar é trocar o ar de um recinto fechado, e quando essa troca é induzida por equipamentos mecânicos, é denominada ventilação mecânica. Com relação à ventilação mecânica, considere as seguintes afirmativas:
1. A ventilação, além de objetivar o controle da pureza, temperatura e umidade do ar dentro de certos limites.
2. A ventilação local exaustora (VLE) é indicada para situações em que a fonte de poluição do ar não está confinada em pontos perfeitamente identificáveis.
3. Ciclones, filtros de mangas, precipitadores eletrostáticos e lavadores de gases são equipamentos de controle da poluição (ECP) utilizados na VLE.
Assinale a alternativa correta.
Provas
Caderno Container