Magna Concursos

Foram encontradas 60 questões.

1017661 Ano: 2017
Disciplina: Eletroeletrônica
Banca: UFPR
Orgão: Itaipu
Provas:

Considere um transformador monofásico com dados de placa de 10000 VA, 60 Hz e 13800:220 V. O transformador é alimentado por tensão igual a 13800 V no enrolamento primário. A resistência e a reatância equivalentes em série são iguais a 1% e 2%, respectivamente, obtidas a partir dos dados de placa do transformador. As perdas no núcleo de ferro e a corrente de magnetização do transformador são consideradas desprezíveis. O transformador alimenta uma carga monofásica, a qual possui impedância igual a 2 + j0,5 Ω.


Assinale a alternativa que apresenta o valor correto da regulação do transformador (em percentagem).

 

Provas

Questão presente nas seguintes provas
1017660 Ano: 2017
Disciplina: Eletroeletrônica
Banca: UFPR
Orgão: Itaipu
Provas:

Sobre os ensaios de curto-circuito e circuito aberto para determinação dos parâmetros em série (resistência e reatância equivalentes) e parâmetros em derivação (resistência de perdas no núcleo e reatância de magnetização) dos circuitos equivalentes de transformadores monofásicos, considere as seguintes afirmativas:


1. A medição de potência ativa no equipamento é necessária apenas para o ensaio de circuito aberto.

2. No ensaio de curto-circuito, a escolha de qual enrolamento, primário ou secundário, usar para aplicação do curtocircuito é arbitrária.

3. Considerando o ensaio de circuito aberto com o enrolamento secundário em aberto e a tensão nominal aplicada ao enrolamento primário, a resistência de perdas no núcleo referida ao primário pode ser calculada pela razão entre o quadrado da tensão aplicada e a potência ativa de entrada, ao se desprezar a impedância de dispersão do primário.

4. O ensaio de curto-circuito permite encontrar a resistência em série dos enrolamentos e a reatância de magnetização do núcleo do transformador.


Assinale a alternativa correta.

 

Provas

Questão presente nas seguintes provas
1017659 Ano: 2017
Disciplina: Eletroeletrônica
Banca: UFPR
Orgão: Itaipu
Provas:

Considere um transformador monofásico com valores nominais de 10000 VA e 2400:240 V. As perdas no núcleo de ferro e a corrente de magnetização do transformador são consideradas desprezíveis. Os parâmetros do circuito equivalente em unidades reais são dados por uma impedância série no enrolamento de alta tensão igual a 1 + j2 Ω e uma impedância série no enrolamento de baixa tensão igual a 2 + j4 Ω.


Assinale a alternativa que apresenta o valor correto da impedância do circuito equivalente, por unidade, após a eliminação do transformador ideal, usando a especificação nominal do equipamento como base.

 

Provas

Questão presente nas seguintes provas
1017658 Ano: 2017
Disciplina: Eletroeletrônica
Banca: UFPR
Orgão: Itaipu
Provas:

Em relação às perdas e aquecimento nas máquinas elétricas, identifique como verdadeiras (V) ou falsas (F) as seguintes afirmativas.



(  ) As perdas ôhmicas consistem em atrito nas escovas e mancais das máquinas.


(  ) As perdas por correntes parasitas em motores de indução variam com o quadrado da frequência de operação.


(  ) Os ensaios de envelhecimento acelerado são utilizados para avaliação dos sistemas de isolamento de máquinas elétricas, incluindo uma análise térmica dos materiais isolantes utilizados.


(  ) As perdas por atrito e ventilação podem ser medidas a partir do valor da potência de entrada da máquina quando ela está funcionando sob carregamento nominal, porém sem excitação.


Assinale a alternativa que apresenta a sequência correta, de cima para baixo.

 

Provas

Questão presente nas seguintes provas
1017657 Ano: 2017
Disciplina: Eletroeletrônica
Banca: UFPR
Orgão: Itaipu
Provas:

Sobre a operação em regime permanente de uma máquina síncrona de polos lisos representada pelo modelo clássico sem perdas ativas e conectada a um sistema elétrico de potência representado por um barramento infinito, considere as seguintes afirmativas:


1. Quando a máquina está sobre-excitada, a projeção do fasor da força eletromotriz interna sobre a direção do fasor da tensão terminal da máquina é maior do que a magnitude deste último fasor, esteja a máquina operando como gerador, motor ou compensador de potência reativa.

2. Na operação da máquina como compensador de potência reativa, a potência ativa deve ser nula, o que significa que a defasagem entre os fasores da força eletromotriz interna e da tensão terminal é igual a 90 graus.

3. A máquina operando como gerador fornece potência reativa ao sistema quando ela está subexcitada.

4. A sensibilidade entre a potência reativa da máquina e o ângulo δ formado entre os fasores da força eletromotriz interna e da tensão terminal é menor, conforme se reduz o ângulo δ.


Assinale a alternativa correta.

 

Provas

Questão presente nas seguintes provas
1017656 Ano: 2017
Disciplina: Eletroeletrônica
Banca: UFPR
Orgão: Itaipu
Provas:

Considere um motor de indução trifásico de quatro polos, operando em 60 Hz, com velocidade rotacional de 1710 rpm e potência de entrada de 10 kW. A potência dissipada no enrolamento do estator é 100 W por fase.


Assinale a alternativa que apresenta o valor correto da potência total dissipada no enrolamento do rotor (em W).

 

Provas

Questão presente nas seguintes provas
1017579 Ano: 2017
Disciplina: Matemática
Banca: UFPR
Orgão: Itaipu
Provas:
Considere a equação dada por 2x 2 + 12x + 3 = -7. Assinale a alternativa que apresenta a soma das duas soluções dessa equação.
 

Provas

Questão presente nas seguintes provas
1017578 Ano: 2017
Disciplina: Matemática
Banca: UFPR
Orgão: Itaipu
Provas:
Considerando que log 10 5 = 0,7, assinale a alternativa que apresenta o valor de log 5 100.
 

Provas

Questão presente nas seguintes provas
1017576 Ano: 2017
Disciplina: Matemática
Banca: UFPR
Orgão: Itaipu
Provas:
Considere a seguinte equação com números complexos: (i - 1)/(-2i - 2). Assinale a alternativa que apresenta a expressão equivalente a essa equação.
 

Provas

Questão presente nas seguintes provas
1017575 Ano: 2017
Disciplina: Matemática
Banca: UFPR
Orgão: Itaipu
Provas:

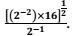
Assinale a alternativa que apresenta o valor da expressão enunciado 1017575-1

 

Provas

Questão presente nas seguintes provas