Foram encontradas 229 questões.
Considere a seguinte situação: João escreveu um e-mail inicial para Pedro, com cópia para Mário e com cópia oculta para Bruno. Pedro resolve encaminhar a mensagem para Bruno e Marcelo. Já Mário e Bruno enviam respostas para todos. Quem são os destinatários dos e-mails de Pedro, Mário e Bruno, respectivamente?
Provas
Questão presente nas seguintes provas
921952
Ano: 2012
Disciplina: TI - Desenvolvimento de Sistemas
Banca: UPENET/IAUPE
Orgão: JUCEPE
Disciplina: TI - Desenvolvimento de Sistemas
Banca: UPENET/IAUPE
Orgão: JUCEPE
Provas:
- Fundamentos de ProgramaçãoAnálise Assintótica (Notação Big-O)
- Fundamentos de ProgramaçãoComplexidade
- Fundamentos de ProgramaçãoLógica de Programação
Sobre a complexidade de algoritmos, analise os itens abaixo:
I. Se o número de passos realizados por um algoritmo A é (n2 + n) para várias entradas de tamanho n, então a complexidade de A é O(n2 ).
II. Se a complexidade de pior caso de um algoritmo A for n, então o número de passos efetuados por A é O(n), qualquer que seja a entrada.
III. Se a complexidade de pior caso de um algoritmo A for n, então podemos afirmar que A é O(n) e também O(n2 ), mas a afirmação O(n) é mais precisa e deve ser utilizada.
Assinale a alternativa CORRETA.
I. Se o número de passos realizados por um algoritmo A é (n2 + n) para várias entradas de tamanho n, então a complexidade de A é O(n2 ).
II. Se a complexidade de pior caso de um algoritmo A for n, então o número de passos efetuados por A é O(n), qualquer que seja a entrada.
III. Se a complexidade de pior caso de um algoritmo A for n, então podemos afirmar que A é O(n) e também O(n2 ), mas a afirmação O(n) é mais precisa e deve ser utilizada.
Assinale a alternativa CORRETA.
Provas
Questão presente nas seguintes provas
921951
Ano: 2012
Disciplina: TI - Desenvolvimento de Sistemas
Banca: UPENET/IAUPE
Orgão: JUCEPE
Disciplina: TI - Desenvolvimento de Sistemas
Banca: UPENET/IAUPE
Orgão: JUCEPE
Provas:
Após analisar o código JAVA que segue, assinale a opção que contém a sequência CORRETA.
public class testeOperadoresLogicos {
public static void main(String[] args) {
boolean A, B;
int C, D;
A = true;
B = false;
C = 0;
D = 0;
System.out.print(((A || B && A || !B)) && ((C *= 2) != (D /= 3)));
System.out.print((!(A || !B) && (A || B)) || ((C *= 2) == (D /= 3)));
System.out.print(((A && !(((C *= 2) != (D /= 3)))) && (!A || !B)));
System.out.print((!A && B || A && !(((C *= 2) == (D /= 3)))));
}
}
public class testeOperadoresLogicos {
public static void main(String[] args) {
boolean A, B;
int C, D;
A = true;
B = false;
C = 0;
D = 0;
System.out.print(((A || B && A || !B)) && ((C *= 2) != (D /= 3)));
System.out.print((!(A || !B) && (A || B)) || ((C *= 2) == (D /= 3)));
System.out.print(((A && !(((C *= 2) != (D /= 3)))) && (!A || !B)));
System.out.print((!A && B || A && !(((C *= 2) == (D /= 3)))));
}
}
Provas
Questão presente nas seguintes provas
921950
Ano: 2012
Disciplina: TI - Desenvolvimento de Sistemas
Banca: UPENET/IAUPE
Orgão: JUCEPE
Disciplina: TI - Desenvolvimento de Sistemas
Banca: UPENET/IAUPE
Orgão: JUCEPE
Provas:
Para projetar um sistema de maneira que seja robusto face às mudanças de requisitos ou à inserção de novos requisitos, você deve levar em conta como o sistema pode necessitar mudar ao longo de sua vida. Porém, para tal, precisamos de estratégias para nos ajudar a segmentar um sistema em módulos, de tal maneira que eles tenham uma melhor organização, isto é, que eles possam ser divididos em partes que possam ser separadamente desenvolvidas e mantidas. Nesse contexto, a coesão e o acoplamento são formas de se avaliar se a segmentação de um sistema em módulos ou em componentes foi eficiente. Acerca da aplicação desses princípios, assinale a opção CORRETA.
Provas
Questão presente nas seguintes provas
921949
Ano: 2012
Disciplina: TI - Desenvolvimento de Sistemas
Banca: UPENET/IAUPE
Orgão: JUCEPE
Disciplina: TI - Desenvolvimento de Sistemas
Banca: UPENET/IAUPE
Orgão: JUCEPE
Provas:
- Fundamentos de ProgramaçãoEstruturas de DadosEstrutura de Dados: ListaLista Encadeada
- Fundamentos de ProgramaçãoEstruturas de DadosEstrutura de Dados: Vetor
Uma lista é uma estrutura de dados, que implementa uma coleção de valores. Analise as afirmativas sobre a implementação de listas.
I. A implementação de listas usando vetores utiliza um espaço de armazenamento contíguo, e a inserção de um elemento quando não feita ao final da lista requer movimentação.
II. Na implementação de listas com encadeamento simples, cada elemento possui apenas informação de quem é seu predecessor.
III. Na implementação de listas com encadeamento duplo, cada elemento possui a informação de quem é seu sucessor e predecessor.
Assinale a alternativa CORRETA
I. A implementação de listas usando vetores utiliza um espaço de armazenamento contíguo, e a inserção de um elemento quando não feita ao final da lista requer movimentação.
II. Na implementação de listas com encadeamento simples, cada elemento possui apenas informação de quem é seu predecessor.
III. Na implementação de listas com encadeamento duplo, cada elemento possui a informação de quem é seu sucessor e predecessor.
Assinale a alternativa CORRETA
Provas
Questão presente nas seguintes provas
921948
Ano: 2012
Disciplina: TI - Desenvolvimento de Sistemas
Banca: UPENET/IAUPE
Orgão: JUCEPE
Disciplina: TI - Desenvolvimento de Sistemas
Banca: UPENET/IAUPE
Orgão: JUCEPE
Provas:
- Fundamentos de ProgramaçãoAlgoritmosConstrução de Algoritmos
- Fundamentos de ProgramaçãoComplexidade
- Fundamentos de ProgramaçãoLógica de Programação
Sabe-se que o valor de um dado armazenado com um tipo inteiro é o próprio número inteiro na base binária que
forma uma cadeia de bits. A largura (ou precisão) de um tipo inteiro é a quantidade de bits disponíveis para a sua
representação. O algoritmo abaixo avalia a quantidade de bits necessária para armazenar um inteiro. Determine
sua complexidade.
int numero_bits (int x) {
int bits = 0;
while (x != 0) { bits++; x=x/2; }
return bits;
}
int bits = 0;
while (x != 0) { bits++; x=x/2; }
return bits;
}
Provas
Questão presente nas seguintes provas
921947
Ano: 2012
Disciplina: TI - Desenvolvimento de Sistemas
Banca: UPENET/IAUPE
Orgão: JUCEPE
Disciplina: TI - Desenvolvimento de Sistemas
Banca: UPENET/IAUPE
Orgão: JUCEPE
Provas:
- Engenharia de SoftwareUML: Unified Modeling Language
- Paradigmas de ProgramaçãoOrientação a ObjetosAnálise e Projeto Orientado a Objetos
- Paradigmas de ProgramaçãoOrientação a ObjetosDefinição Técnica: Orientação a Objetos
- Paradigmas de ProgramaçãoOrientação a ObjetosOrientação a Objetos: Herança
Se a → b e b → c, podemos afirmar que a → c. Ou seja, temos uma relação transitiva. Na orientação a objetos, mais precisamente na UML, essa relação pode ser modelada usando o conceito
Provas
Questão presente nas seguintes provas
921946
Ano: 2012
Disciplina: TI - Desenvolvimento de Sistemas
Banca: UPENET/IAUPE
Orgão: JUCEPE
Disciplina: TI - Desenvolvimento de Sistemas
Banca: UPENET/IAUPE
Orgão: JUCEPE
Provas:
Em relação ao Processo Unificado da Rational (RUP), analise as afirmativas a seguir:
I. Ele utiliza uma abordagem iterativa, centrada na arquitetura e orientada por casos de uso.
II. O processo analítico do RUP divide o ciclo de vida de desenvolvimento nas seguintes fases: transição, concepção, elaboração, implantação e construção.
III. O projeto vivencia fases básicas entre as quais podem ser mencionadas a elaboração e a construção. A elaboração corresponde ao entendimento da necessidade e à visão do projeto, enquanto a construção corresponde ao desenvolvimento do sistema.
Assinale a alternativa CORRETA
I. Ele utiliza uma abordagem iterativa, centrada na arquitetura e orientada por casos de uso.
II. O processo analítico do RUP divide o ciclo de vida de desenvolvimento nas seguintes fases: transição, concepção, elaboração, implantação e construção.
III. O projeto vivencia fases básicas entre as quais podem ser mencionadas a elaboração e a construção. A elaboração corresponde ao entendimento da necessidade e à visão do projeto, enquanto a construção corresponde ao desenvolvimento do sistema.
Assinale a alternativa CORRETA
Provas
Questão presente nas seguintes provas
921945
Ano: 2012
Disciplina: TI - Desenvolvimento de Sistemas
Banca: UPENET/IAUPE
Orgão: JUCEPE
Disciplina: TI - Desenvolvimento de Sistemas
Banca: UPENET/IAUPE
Orgão: JUCEPE
Provas:
- Engenharia de SoftwareCiclo de Vida de Software
- Engenharia de SoftwareEngenharia de Requisitos
- Engenharia de SoftwareModelos de Desenvolvimento
Identifique se são Verdadeiras (V) ou Falsas (F) as afirmativas que seguem com relação a ciclo de vida de software.
( ) Pode-se considerar que o modelo de prototipagem serve como um mecanismo para a identificação dos requisitos de um sistema.
( ) Pode-se considerar que o modelo proposto por Barry Boehm em 1988 apresenta-se como um modelo, em que em cada iteração ocorre uma análise de risco.
( ) Pode-se considerar o modelo cascata (ou clássico) como adequado para controlar riscos e requisitos voláteis durante o desenvolvimento do sistema.
( ) O Desenvolvimento Rápido de Aplicações (RAD – Rapid Application Development) pode fazer uso do processo de desenvolvimento conjunto de aplicações (JAD – Joint Application Development) para coletar dados e analisar requisitos.
Assinale a alternativa que indica a sequência CORRETA.
( ) Pode-se considerar que o modelo de prototipagem serve como um mecanismo para a identificação dos requisitos de um sistema.
( ) Pode-se considerar que o modelo proposto por Barry Boehm em 1988 apresenta-se como um modelo, em que em cada iteração ocorre uma análise de risco.
( ) Pode-se considerar o modelo cascata (ou clássico) como adequado para controlar riscos e requisitos voláteis durante o desenvolvimento do sistema.
( ) O Desenvolvimento Rápido de Aplicações (RAD – Rapid Application Development) pode fazer uso do processo de desenvolvimento conjunto de aplicações (JAD – Joint Application Development) para coletar dados e analisar requisitos.
Assinale a alternativa que indica a sequência CORRETA.
Provas
Questão presente nas seguintes provas
921944
Ano: 2012
Disciplina: TI - Desenvolvimento de Sistemas
Banca: UPENET/IAUPE
Orgão: JUCEPE
Disciplina: TI - Desenvolvimento de Sistemas
Banca: UPENET/IAUPE
Orgão: JUCEPE
Provas:
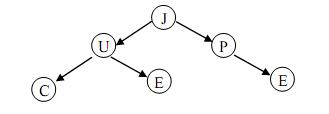
Indique a palavra formada como resultado da travessia, ao percorrer em inorder a árvore a seguir:


Provas
Questão presente nas seguintes provas
Cadernos
Caderno Container