Foram encontradas 229 questões.
921943
Ano: 2012
Disciplina: TI - Desenvolvimento de Sistemas
Banca: UPENET/IAUPE
Orgão: JUCEPE
Disciplina: TI - Desenvolvimento de Sistemas
Banca: UPENET/IAUPE
Orgão: JUCEPE
Provas:
Dado o diagrama de caso de uso da UML, é CORRETO afirmar que


Provas
Questão presente nas seguintes provas
921942
Ano: 2012
Disciplina: TI - Desenvolvimento de Sistemas
Banca: UPENET/IAUPE
Orgão: JUCEPE
Disciplina: TI - Desenvolvimento de Sistemas
Banca: UPENET/IAUPE
Orgão: JUCEPE
Provas:
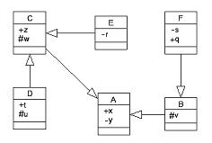
Considerando na UML a hierarquia conceitual (especialização/generalização) entre classes e a visibilidade dos seus respectivos atributos, conforme pode ser observado na figura que segue, quais serão os atributos de uma instância da classe E?


Provas
Questão presente nas seguintes provas
921941
Ano: 2012
Disciplina: TI - Organização e Arquitetura dos Computadores
Banca: UPENET/IAUPE
Orgão: JUCEPE
Disciplina: TI - Organização e Arquitetura dos Computadores
Banca: UPENET/IAUPE
Orgão: JUCEPE
Provas:
Pipelining é uma técnica de projeto, em que o hardware processa mais de uma instrução de cada vez, sem esperar que uma instrução termine antes de começar a próxima. Sobre esse assunto, analise os itens abaixo:
I. Numa máquina sem pipeline, os quatro estágios básicos de uma instrução compreendem: busca, decodificação, execução e atualização. Esses estágios não existem em uma máquina com pipeline.
II. O pipeline alivia o tempo de latência das instruções.
III. O pipeline melhora o throughput global.
Assinale a alternativa CORRETA.
I. Numa máquina sem pipeline, os quatro estágios básicos de uma instrução compreendem: busca, decodificação, execução e atualização. Esses estágios não existem em uma máquina com pipeline.
II. O pipeline alivia o tempo de latência das instruções.
III. O pipeline melhora o throughput global.
Assinale a alternativa CORRETA.
Provas
Questão presente nas seguintes provas
921940
Ano: 2012
Disciplina: TI - Organização e Arquitetura dos Computadores
Banca: UPENET/IAUPE
Orgão: JUCEPE
Disciplina: TI - Organização e Arquitetura dos Computadores
Banca: UPENET/IAUPE
Orgão: JUCEPE
Provas:
Analise os itens abaixo sobre o barramento USB (Universal Serial Bus).
I. Teoricamente, uma única porta USB pode ser usada para conectar até 127 periféricos (mouse, modems, teclados, scanners, câmeras, etc.).
II. A USB atende às especificações Plug and Play, e o fornecimento de energia dos dispositivos USB é realizado pelo próprio USB.
III. Os cabos USB possuem uma conexão de quatro fios. Um par trançado através dos quais trafegam os dados no formato serial. Outro par usado para a alimentação dos dispositivos ligados no barramento.
Assinale a alternativa CORRETA.
I. Teoricamente, uma única porta USB pode ser usada para conectar até 127 periféricos (mouse, modems, teclados, scanners, câmeras, etc.).
II. A USB atende às especificações Plug and Play, e o fornecimento de energia dos dispositivos USB é realizado pelo próprio USB.
III. Os cabos USB possuem uma conexão de quatro fios. Um par trançado através dos quais trafegam os dados no formato serial. Outro par usado para a alimentação dos dispositivos ligados no barramento.
Assinale a alternativa CORRETA.
Provas
Questão presente nas seguintes provas
Sobre a condição de sofrimento associada ao trabalho (Mendes, 2003), analise os itens abaixo:
I. A distância entre o que a organização espera e prescreve (tarefa) e o que o trabalhador realiza (atividade) impõe, muitas vezes, a utilização de estratégias de mediação, a fim de atender às demandas da empresa e manter sua empregabilidade e integridade física e psíquica.
II. A incidência dos casos de doenças ocupacionais, tais como depressão, estresse e Burnout, representa a expressão do sofrimento psíquico, vivenciado pelo trabalhador no contexto da produção de bens e serviço.
III. Para corresponder às expectativas da organização e não adoecer, os trabalhadores utilizam estratégias de enfrentamento contra o sofrimento, tais como conformismo, individualismo, negação de perigo, passividade etc. Quanto mais individualista a estratégia, mais eficaz, pois permite a imediata reorganização subjetiva da condição de sofrimento psíquico.
Está(ão) INCORRETO(S)
I. A distância entre o que a organização espera e prescreve (tarefa) e o que o trabalhador realiza (atividade) impõe, muitas vezes, a utilização de estratégias de mediação, a fim de atender às demandas da empresa e manter sua empregabilidade e integridade física e psíquica.
II. A incidência dos casos de doenças ocupacionais, tais como depressão, estresse e Burnout, representa a expressão do sofrimento psíquico, vivenciado pelo trabalhador no contexto da produção de bens e serviço.
III. Para corresponder às expectativas da organização e não adoecer, os trabalhadores utilizam estratégias de enfrentamento contra o sofrimento, tais como conformismo, individualismo, negação de perigo, passividade etc. Quanto mais individualista a estratégia, mais eficaz, pois permite a imediata reorganização subjetiva da condição de sofrimento psíquico.
Está(ão) INCORRETO(S)
Provas
Questão presente nas seguintes provas
Numa determinada empresa, tem-se um líder que não prima por avaliar o processo de trabalho, e, também, por ter uma participação limitada na apresentação de alternativas relacionadas ao desenvolvimento das atividades. A alternativa que melhor caracteriza esse tipo de liderança é
Provas
Questão presente nas seguintes provas
Em relação ao processo de aprendizagem, assinale a alternativa INCORRETA.
Provas
Questão presente nas seguintes provas
Sobre a linguagem não verbal e suas formas de expressão na entrevista, observe os itens abaixo:
I. Toque
II. Roupas
III. Territorialidade
IV. Proxêmica
Assinale a alternativa que identifica aqueles próprios à linguagem não verbal.
I. Toque
II. Roupas
III. Territorialidade
IV. Proxêmica
Assinale a alternativa que identifica aqueles próprios à linguagem não verbal.
Provas
Questão presente nas seguintes provas
Assinale a alternativa que está INCORRETAMENTE relacionada ao favorecimento da coesão grupal.
Provas
Questão presente nas seguintes provas
Observe a seguinte descrição: “Intensas alterações da psicomotricidade, entre as quais: imobilidade quase completa, atividade motora excessiva, negativismo extremo, mutismo, estereotipias, ecolalia ou ecopraxia, obediência ou imitação automática. A imobilidade motora pode se apresentar como estupor ou ainda por catalepsia. Impõe-se aqui o diagnóstico diferencial cuidadoso, com um quadro induzido por condição médica geral (por exemplo, encefalopatia hepática), por drogas ou medicamentos e com casos graves de evolução esquizofrênica. As facilidades de diagnóstico e de tratamento desfavorecem a progressão a essas formas mais graves, que em passado recente (particularmente antes da introdução do eletrochoque) ameaçavam a vida dos pacientes" (adaptado de Porto, 2002). Assinale a alternativa que identifica, CORRETAMENTE, o transtorno clínico descrito.
Provas
Questão presente nas seguintes provas
Cadernos
Caderno Container