Magna Concursos

Foram encontradas 452 questões.

842958 Ano: 2014
Disciplina: Farmácia
Banca: Consulplan
Orgão: MAPA
Nas boas práticas de fabricação de medicamentos, a verificação documentada de que o equipamento ou sistema apresenta desempenho consistente e reprodutível, de acordo com parâmetros e especificações definidas, por períodos prolongados, denomina-se qualificação de
 

Provas

Questão presente nas seguintes provas
842957 Ano: 2014
Disciplina: Farmácia
Banca: Consulplan
Orgão: MAPA
Numa indústria farmacêutica, as boas práticas de fabricação indicam que o pessoal-chave inclui os responsáveis por produção, garantia da qualidade, controle de qualidade e responsável técnico. Diante do exposto, assinale a afirmativa correta.
 

Provas

Questão presente nas seguintes provas
842956 Ano: 2014
Disciplina: Farmácia
Banca: Consulplan
Orgão: MAPA
As boas práticas de fabricação de medicamentos (BPF) exige que cada empresa realize uma autoinspeção que deve avaliar o cumprimento das normas por parte do fabricante em todos os seus aspectos. O programa de autoinspeção deve ser planejado para detectar qualquer desvio na implementação das BPF e recomendar as ações corretivas necessárias, devendo ser realizadas de forma rotineira. A periodicidade recomendada pela legislação é
 

Provas

Questão presente nas seguintes provas
842955 Ano: 2014
Disciplina: Farmácia
Banca: Consulplan
Orgão: MAPA

A tiamina é uma vitamina do complexo B presente em tecidos vegetais e animais. Sobre a estabilidade e a degradação dessa vitamina em processamento de alimentos, marque V para as alternativas verdadeiras e F para as falsas.

( ) As perdas de tiamina nos alimentos são favorecidos em pH ácidos.

( ) A tiamina apresenta excelente estabilidade em condições de baixa atividade de água à temperatura ambiente.

( ) Os taninos podem desativar a tiamina, aparentemente, pela formação de vários adutos biologicamente inativos.

( ) A presença de hemeproteínas em alimentos processados protege a degradação de tiamina, fazendo com que carnes processadas se constituem de uma boa fonte dessa vitamina.

A sequência está correta em

 

Provas

Questão presente nas seguintes provas
842954 Ano: 2014
Disciplina: Farmácia
Banca: Consulplan
Orgão: MAPA

O branqueamento, tratamento térmico suave, é uma etapa essencial do processamento de frutas e vegetais. Analise os efeitos principais desse processo, marque V para as alternativas verdadeiras e F para as falsas.

( ) Inativação de enzimas potencialmente deletérias.

( ) Redução da carga microbiana.

( ) Diminuição intersticial de gases antes do processamento.

A sequência está correta em

 

Provas

Questão presente nas seguintes provas
842953 Ano: 2014
Disciplina: Direito Sanitário
Banca: Consulplan
Orgão: MAPA
Segundo a Lei nº 5.991/73, a dispensação de plantas medicinais é privativa a
 

Provas

Questão presente nas seguintes provas
842952 Ano: 2014
Disciplina: Farmácia
Banca: Consulplan
Orgão: MAPA
A incidência de toxicidade grave reconhecida em associação ao uso de anticoncepcionais é baixa, bem inferior aos riscos associados à gravidez. Porém, o hirsutismo pode ser agravado por derivados da 19-nortestosterona e, para essas pacientes, deve-se evitar o uso de
 

Provas

Questão presente nas seguintes provas
842951 Ano: 2014
Disciplina: Farmácia
Banca: Consulplan
Orgão: MAPA

A metformina é uma biguanida, sendo frequentemente prescrita para pacientes cuja hiperglicemia decorre de uma ação ineficaz a insulina. Em relação aos mecanismos propostos para a sua ação, marque V para as alternativas verdadeiras e F para as falsas.

( ) Redução da gliconeogênese hepática e renal.

( ) Redução da conversão da glicose em lactato nos enterócitos.

( ) Aumento da glicólise nos tecidos.

( ) Aumento dos níveis plasmáticos de glucagon.

A sequência está correta em

 

Provas

Questão presente nas seguintes provas
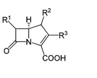
842949 Ano: 2014
Disciplina: Farmácia
Banca: Consulplan
Orgão: MAPA
As penicilinas compartilham certas características químicas, mecanismos de ação, farmacologia e características imunológicas com as cefalosporinas, os monobactâmicos, os carbapenens e os inibidores das betalactamases. Todos são compostos betalactâmicos. Qual das estruturas a seguir corresponde à estrutura geral da penicilina?
 

Provas

Questão presente nas seguintes provas
842948 Ano: 2014
Disciplina: Farmácia
Banca: Consulplan
Orgão: MAPA

Os benefícios obtidos com o uso dos glicocorticoides variam de modo considerável. Em todos os pacientes, a utilização desses fármacos deve ser cuidadosamente avaliada em relação aos efeitos disseminados, observados em todas as partes do organismo. Os principais efeitos indesejáveis desses medicamentos resultam de suas ações hormonais. Pacientes que recebem esses fármacos por mais de duas semanas devem ser cuidadosamente monitorados quanto ao desenvolvimento de alguns quadros clínicos, como:

• glicosúria;

• hiperpotassemia;

• hiponatremia;

• úlcera péptica.

O número correto de situações clínicas a serem monitoradas é

 

Provas

Questão presente nas seguintes provas