Foram encontradas 50 questões.
Considere a seguinte definição de dados:
CREATE TABLE EMPREGADO (NOME VARCHAR(5O) NOT NULL, CPF CHAR (11) NOT NULL, PRIMARY KEY (CPF)); em que a tabela EMPREGADO armazena os dGados dos empregados, que são descritos pelos atributos NOME (nome do empregado) e CPF(CPF do empregado).
CREATE TABLE DEPENDENTE (CPF EMPREGADO CHAR (11) NOT NULL, NOME DEP VARCHAR(5DO) NOT NULL, PRIMARY KEY (CPF EMPREGADO, NOME DEP), FOREIGN KEY (CPF EMPREGADO) REFERENCES EMPREGADO (CPF) ); em que a tabela DEPENDENTE armazena os dados dos dependentes de cada empregado, que são descritos pelos atributos CPF EMPREGADO (CPF do empregado titular) e NOME DEP (nome do dependente).
Qual a expressão em SOL que irá obter o nome dos empregados que possuem dois ou mais filhos?
Provas
Disciplina: TI - Organização e Arquitetura dos Computadores
Banca: Marinha
Orgão: Marinha
Assinale a opção correta em relação à arquitetura de processadores.
Provas

A figura apresentada acima é o resultado do monitoramento das consultas de um computador para outro de modo a permitir a resolução de nomes numa determinada rede (DNS - DOMAIN NAME SYSTEM). Assinale a Única opção INCORRETA em relação à resolução de nomes.
Provas
Assinale a opção que completa corretamente a lacuna da sentença abaixo.
Os tipos de dados são aqueles não definidos em ermos de outros do mesmo nome.
Provas
O equipamento do Lipo FIREWALL, usado em redes é aquele que
Provas

Analisando as informações fornecidas pela saída do comando NETSTAT exibida na figura acima, pode-se concluir que
Provas
- Fundamentos de ProgramaçãoFunções, Métodos e Procedimentos
- Fundamentos de ProgramaçãoLógica de Programação
- Fundamentos de ProgramaçãoPassagem de Parâmetros
Assinale a opção que completa corretamente a lacuna da sentença abaixo. Na passagem de parâmetros por , a toda alteração feita num parâmetro formal corresponde à mesma alteração feita no seu parâmetro real.
Provas
- Fundamentos de ProgramaçãoAlgoritmosAnálise de Execução de Algoritmos
- Fundamentos de ProgramaçãoAlgoritmosConstrução de Algoritmos
- Fundamentos de ProgramaçãoEstruturas de DadosEstrutura de Dados: Array
- Fundamentos de ProgramaçãoLógica de Programação
Para i \( \leftarrow \) 1 até [ n/2 ] faça
temp\( \leftarrow \)- s[i];
s[i] \( \leftarrow \) sln - à + 1];
s[n - i +1] \( \leftarrow \) temp;
Fim-para
Qual a finalidade do algoritmo apresentado acima, considerando s uma sequência de caracteres?
Provas

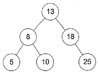
O resultado de um percurso em pré-ordem na árvore da figura acima é
Provas
- Modelo OSIModelo OSI: Camada de Aplicação
- Protocolos e ServiçosInternet e EmailSMTP: Simple Mail Transfer Protocol

A figura acima mostra a comunicação entre um cliente e um servidor de correio eletrônico utilizando o protocolo SMTP. Assinale a opção correta em relação à esta comunicação de correio eletrônico.
Provas
Caderno Container